最小二乘法及矩阵求导
作者:jiandanjinxin
链接:https://www.jianshu.com/p/edaf949bcaeb
来源:简书
著作权归作者所有。商业转载请联系作者获得授权,非商业转载请注明出处。
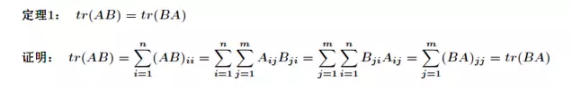
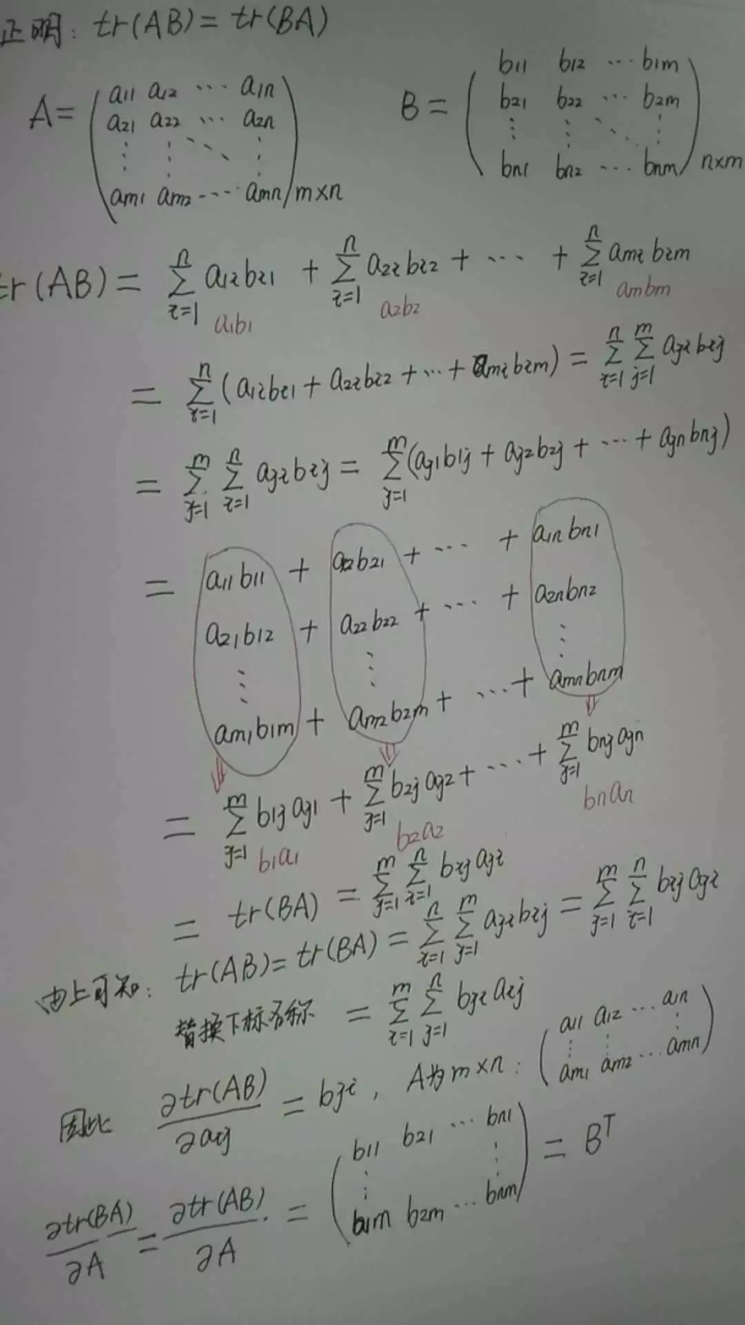
矩阵的迹定义如下









定理7.png

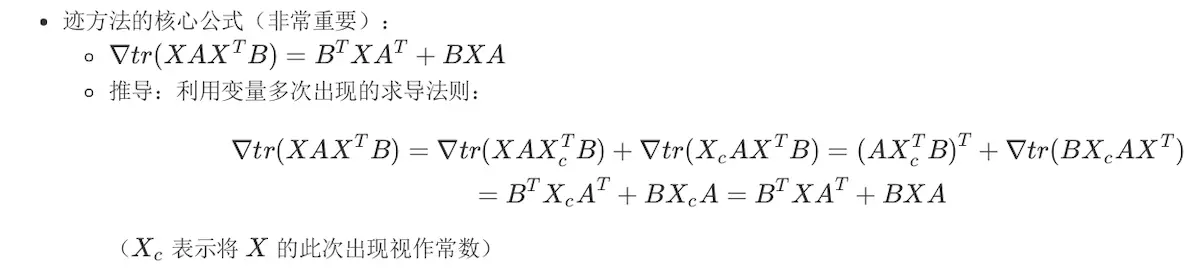
迹方法.png

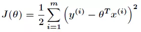
最小二乘法
最小二乘法1.png
最小二乘法2.png


最小二乘的概率解释



最小即可。这就解释了线性回归为什么要选用最小二乘作为衡量指标了。
参考文献
作者:jiandanjinxin
链接:https://www.jianshu.com/p/edaf949bcaeb
来源:简书
著作权归作者所有。商业转载请联系作者获得授权,非商业转载请注明出处。
矩阵的迹定义如下
















最小即可。这就解释了线性回归为什么要选用最小二乘作为衡量指标了。