作业四:朴素贝叶斯算法实验
|班级链接|https://edu.cnblogs.com/campus/czu/classof2020BigDataClass3-MachineLearning
|作业链接|https://edu.cnblogs.com/campus/czu/classof2020BigDataClass3-MachineLearning/homework/12871
|学号|201613318|
【题目】
1.下表中是某大学一位研究生导师带过的硕士研究生录取情况表,根据该表建立朴素贝叶斯模型,现有一名上线考生想报考该导师,考生的特点是专业、数学和外语都不好,获奖情况很好,请你判断该生能否被录取。
【要求】
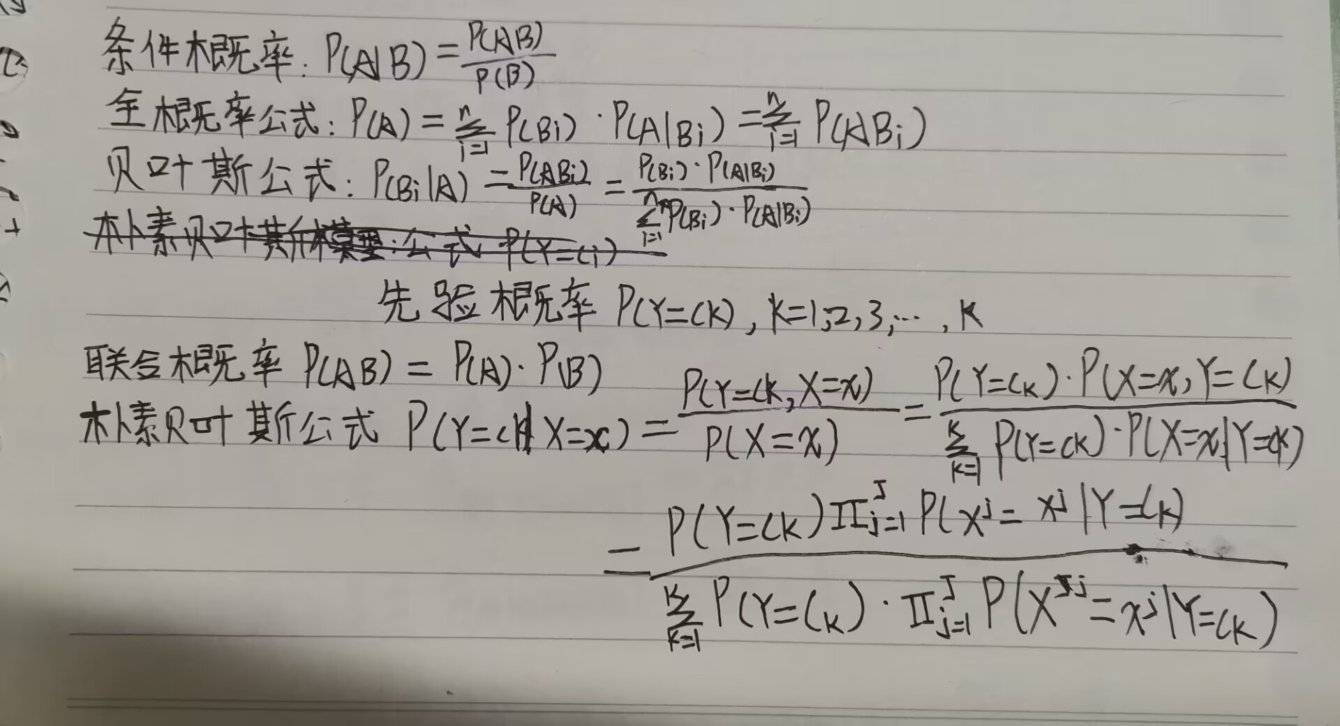
1.写出朴素贝叶斯分类的主要公式;
2.详细写出题目的计算过程;
3.请大家在博客中直接完成或在作业本上完成后拍照上传。
专业 数学 外语 获奖 录取情况
好 不好 不好 一般 否
不好 好 好 一般 否
好 好 好 一般 是
不好 好 好 很好 是
好 不好 好 一般 否
好 不好 好 一般 否
好 好 不好 很好 是
不好 好 好 较好 是
好 好 好 较好 是
不好 不好 好 很好 是
好 好 不好 一般 否
好 好 不好 一般 否
1、

2、

浙公网安备 33010602011771号