【c++】利用复化simpson公式求解积分
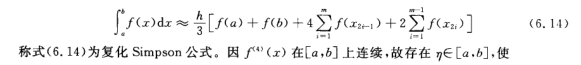
复化simpson公式:




double simpson(vecRow y, double h=0.1,int n=51) { double result; double ya{ y[0] }; double yb{ y[n-1] }; int m{ (n - 1) / 2 }; double sum1, sum2; sum1 = 0.0; for (int i = 1;i < m + 1;i++) { sum1 += y[2 * i - 1]; } sum2 = 0.0; for (int i = 1;i < m;i++) { sum2 += y[2 * i]; } result = (h / 3) * (ya + yb + 4 * sum1 + 2 * sum2); return result; }

浙公网安备 33010602011771号