常用代码模板6——贪心
贪心
- 夹逼定理(若a >= b, b >= a,则a == b)
证明用当前方法得到的结果就等于最优解
区间问题
可以尝试的突破口:排序(按左端点或右端点或双关键字排序)
常用证明方法:
- 基本思路:夹逼定理(ans >= cnt,ans <= cnt)
- 反证法
- 最优解中的区间一定可以换成用贪心策略选出的区间
huffman树
树的带权路径长度
设二叉树具有n个带权叶结点,从根结点到各叶结点的路径长度与相应叶节点权值的乘积之和称为 树的带权路径长度(Weighted Path Length of Tree,WPL)。
设\(w_i\)为二叉树第i个叶结点的权值,\(l_i\)为从根结点到第i个叶结点的路径长度,则 WPL 计算公式如下:
\[WPL=\sum_{i=1}^{n}w_il_i \]
结构
对于给定一组具有确定权值的叶结点,可以构造出不同的二叉树,其中,WPL 最小的二叉树 称为 霍夫曼树(Huffman Tree)。
对于霍夫曼树来说,其叶结点权值越小,离根越远,叶结点权值越大,离根越近。
霍夫曼算法
霍夫曼算法用于构造一棵霍夫曼树,算法步骤如下:
- 初始化:由给定的n个权值构造n棵只有一个根节点的二叉树,得到一个二叉树集合 。
- 选取与合并:从二叉树集合F中选取根节点权值 最小的两棵 二叉树分别作为左右子树构造一棵新的二叉树,这棵新二叉树的根节点的权值为其左、右子树根结点的权值和。
- 删除与加入:从F中删除作为左、右子树的两棵二叉树,并将新建立的二叉树加入到F中。
- 重复 2、3 步,当集合中只剩下一棵二叉树时,这棵二叉树就是霍夫曼树。
对于未建好的霍夫曼树,直接求其 WPL
priority_queue<int, vector<int>, greater<int>> q;
for (int i = 0; i < n; i ++ ) q.push(w[i]);
int ans = 0;
while (q.size() > 1)
{
int a = q.top(); q.pop();
int b = q.top(); q.pop();
ans += a + b;
q.push(a + b);
}
cout << ans;
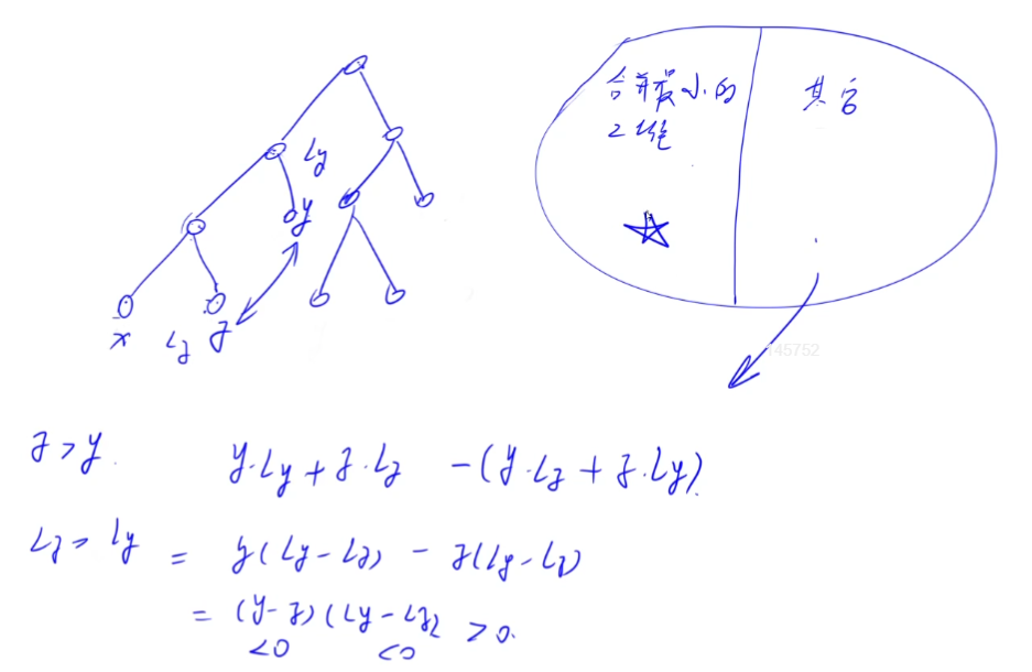
证明:WPL最小

- 最小的两堆深度最深且可以互为兄弟。
- 如果x, y在同一层,将它们的位置变成兄弟不改变结果
- 如果y在更高层,有图中算式得交换成兄弟位置一定更好
- 接下来的递归解决即可
排序不等式
证明方法:微扰+作差
绝对值不等式
求x,使得|a - x| + |b - x|最小,则令x在[a, b]中,a < b



浙公网安备 33010602011771号