会员
众包
新闻
博问
闪存
赞助商
HarmonyOS
Chat2DB
所有博客
当前博客
我的博客
我的园子
账号设置
会员中心
简洁模式
...
退出登录
注册
登录
zhenghao1234568520
博客园
首页
新随笔
联系
订阅
管理
333
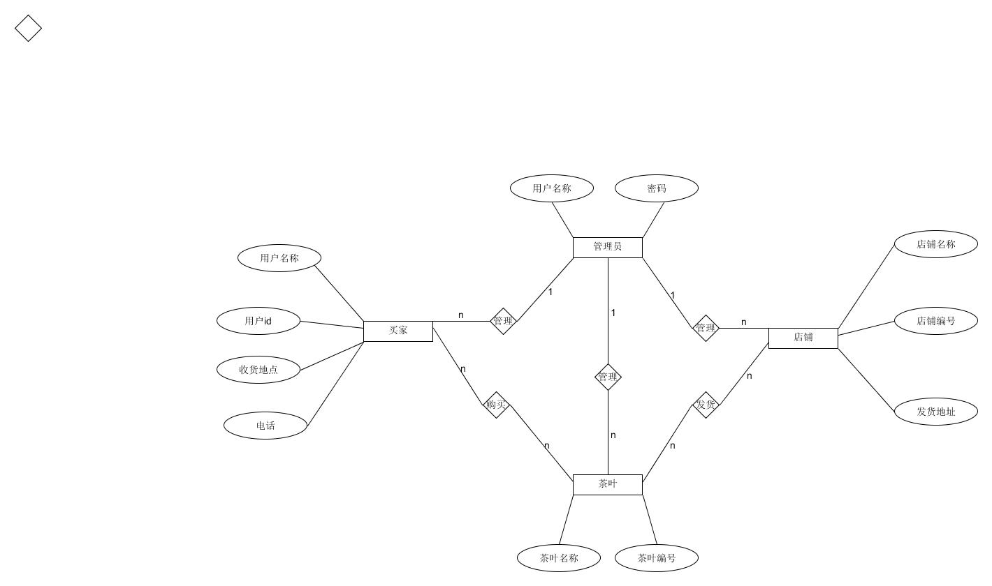
管理员:主键(用户名称) 密码
店铺:主键 (店铺编号) 店铺名称,店铺地址
茶叶:主键(茶叶编号) 茶叶名称
买家:主键(用户ID) 用户名称,收货地点,电话
posted @
2025-04-02 13:33
77787954
阅读(
8
) 评论(
0
)
收藏
举报
刷新页面
返回顶部
公告