luoguP4322【[JSOI2016]最佳团体】题解
思路:看到这种求一个比值的题,很容易能想到01分数规划(其实就是二分) \(+\) 树上 \(\mathrm{DP}\)
题目要我们求的是 \(\dfrac{\sum{p_i}}{\sum{s_i}}\) 的最大值
我们设 \(mid\) 为正确答案,要使 \(\dfrac{\sum{p_i}}{\sum{s_i}}\) 的值最大,则有:
\[\dfrac{\sum{p_i}}{\sum{s_i}} \leqslant mid
\]
移项整合得到:
\[mid \cdot \sum{s_i}- \sum{p_i} \geqslant \mathrm{0}
\]
用二分来求 \(mid\) 的值,若 \(check(mid)\) 成立,则 \(l=mid\) 。
但是如何做 \(check\) ?
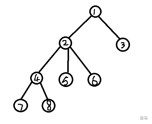
将题目转换成一棵树,如图:

对于每一个点 \(i\) ,因为要求的是 \(\dfrac{\sum{p_i}}{\sum{s_i}}\) ,所以将它的值 \(d[i]\) 转换成 \(p[i]-s[i] \times mid\) 。
再从 \(0\) 号点开始用 \(dfs\) 来 \(DP\) 。
用 \(dp[i][j]\) 表示在以 \(i\) 为根的子树中选出 \(j\) 个点的最大性价比,最终得出的结果为 \(dp[0][k+1]\) (注意这里是 \(k+1\) ,因为要加上 \(0\) 号点)。
那么状态转移方程是什么呢?

对于如图的一棵树,以结点 \(2\) 为例,
想要求 \(dp[2][j]\) ,它的值取决于它的子树 \(4\),\(5\),\(6\) 的 \(dp\) 的值。
所以 \(2\) 的 \(dp\) 值为它的每棵子树的一部分的性价比最大值,这 “一部分” 由枚举解决。
所以得出方程:
\[dp[u][j]=\max(dp[u][j],dp[v][k]+dp[u][j-k])
\]
时间复杂度为 \(O(n^2)\) 具体怎么算可以参考网上的博客。
代码如下:
#pragma GCC optimize(3)
#include<bits/stdc++.h>
using namespace std;
#define cmax(a,b) a=a>b?a:b
inline int read(){
int x=0,f=1;
char c=getchar();
while(!isdigit(c)&&c!='-') c=getchar();
if(c=='-') f=-1;
while(isdigit(c)) x=(x<<3)+(x<<1)+(c^48),c=getchar();
return x*f;
}
const int N=2502;
struct edge{
int to,next;
}e[N<<1];
const float ex=1e-4;
int tot,k,n,h[N],sz[N];
float dp[N][N],d[N],p[N],s[N];
inline void add(int x,int y){
e[++tot]=(edge){y,h[x]};
h[x]=tot;
}
void dfs(int x,int fa){
sz[x]=1,dp[x][1]=d[x];
for(register int i=h[x];i;i=e[i].next){
int y=e[i].to;
if(y==fa) continue;
dfs(y,x);
sz[x]+=sz[y];
for(register int j=min(k+1,sz[x]);j;j--){
int minn=min(j-1,sz[x]);
for(register int z=1;z<=minn;z++){
cmax(dp[x][j],dp[y][z]+dp[x][j-z]);
}
}
}
}
inline bool check(float m){
for(register int i=1;i<=n;i++){
d[i]=p[i]-s[i]*m;
}
for(register int i=0;i<=n;i++){
for(register int j=1;j<=k+1;j++){
dp[i][j]=-2147483647;
}
}
dfs(0,-1);
return dp[0][k+1]>=0;
}
int main(){
cin>>k>>n;
float l=0,r=0;
for(register int i=1;i<=n;i++){
s[i]=read(),p[i]=read();
cmax(r,p[i]);
add(read(),i);
}
while(r-l>ex){
float mid=(l+r)/2;
if(check(mid)){
l=mid;
}else{
r=mid;
}
}
printf("%.3f",l);
return 0;
}

浙公网安备 33010602011771号