不杂题不选做,weekday9
Day1
CF1083C Max Mex
换句话说就是找到一个最大的 \(i\) 使得 \(0,1,\dots,i\) 在一条链上,答案就是 \(i+1\)。
线段树维护 \([l,r]\) 是否在一条链上,如果是找出这条链。然后 \([l,mid]\) 和 \([mid+1,r]\) 的信息合并是不难的。最后在线段树上二分即可。
用单次查询复杂度 \(\mathcal O(1)\) 的 LCA,这样的时间复杂度是 \(\mathcal O(n\log n)\) 的。
CF1139E Maximize Mex
删数不好维护,考虑时光倒流变成加数。
单次答案如何计算?不难看出可以把潜力值 \(p_i\) 和社团 \(c_i\) 建出一个二分图,从小到大地去尝试匹配潜力值,第一个无法匹配的值就是 \(\operatorname{mex}\)。
把删数变成加数之后,\(\operatorname{mex}\) 是不减的,所以不需要每次都重新跑二分图匹配,而是可以在上一次结果的基础上继续匹配,时间复杂度 \(\mathcal O\!\left(n^2\right)\)。
CF285E Positions in Permutations
计数恰好转指定,就是指定有 \(k\) 个位置 \(i\) 满足 \(|P_i-i|=1\),其余的任意。记原题中要求的值为 \(f_m\),这里的值为 \(g_i\),则在求出所有 \(g_i\) 后可以简单地二项式反演求出 \(f_m\)。
考虑 dp 求出 \(g_i\)。设 \(dp_{i,j,0/1,0/1}\) 表示在前 \(i\) 个位置中指定 \(j\) 个满足条件,剩下的先不填,\(i\) 是否被选,\(i+1\) 是否被选。这样最终的 \(g_i\) 实际上就是 \((dp_{n,i,0,0}+dp_{n,i,1,0})(n-i)!\)。
考虑转移。若 \(i\) 指定选 \(i-1\),则
若 \(i\) 指定选 \(i+1\)(前提是 \(i\ne n\)),则
若 \(i\) 未被指定,则
初值为 \(dp_{1,0,0,0}=dp_{1,1,0,1}=1\)。
dp 直接做就行,时间复杂度 \(\mathcal O\!\left(n^2\right)\)。
CF1622F Quadratic Set
答案一定不小于 \(n-3\)。为啥??
有式子:
- 当 \(n\equiv0\pmod 4\) 时只需要删去 \(\frac{n}{2}\) 即可。
- 当 \(n\equiv2\pmod 4\) 时需要删去 \(2\) 和 \(\frac{n}{2}\)。
- 当 \(n\equiv1\pmod 2\) 时删去 \(n\),然后转为上面一个。
于是考虑挨个判断是否可行。对每个质数赋随机值,一个数的值是所有出现奇数次的质因子的异或值。这样一个阶乘的值可以递推得出。一个数对应的值是 \(0\) 说明它有极大概率是完全平方数。剩下的就很简单了。
Day2
P8820 [CSP-S 2022] 数据传输
\(k=1\) 是简单的。
\(k=2\) 可以知道最优路径一定只选择简单路径上的点,于是有转移方程:
写成 \((\min,+)\) 矩阵形式得到:
可以预处理一个点到它的 \(2^k\) 级祖先的矩阵连乘积,然后询问时拼在一起。
\(k=3\) 时涉及到的点是毛毛虫。设 \(f_{i,j}\) 表示到一个在第 \(i\) 个点子树中,且离第 \(i\) 个点距离为 \(j\) 的点的最小代价,则有转移方程:
其中 \(v_i'\) 指所有第 \(i\) 个点的儿子 \(j\) 的 \(v_j\) 的最小值。
这同样可以用矩阵表示:
每次询问时在 LCA 处将它的父亲也放进 \(v_{lca}'\) 就行。时间复杂度 \(\mathcal O\!\left((n+q)k^3\log n\right)\)。
CF494C Helping People

由于区间要么包含要么相离,可以建出一个森林。为了方便,增加一个 \(l=1,r=n,p=0\) 的操作,这样森林变成一棵树。
一个观察是操作后的最大值绝不会超过一开始的的最大值加 \(q\)。由于期望的定义,可以考虑对于每个可能达到的最大值求出达到它的概率,最后的计算就简单了。
设 \(f_{i,j}\) 表示区间 \([l_i,r_i]\) 中最大值不超过 \(j\) 的概率。则有
只有 \(j\in[\max([l_i,r_i]),\max([l_i,r_i])+q]\) 时需要计算。直接做就行。
处理区间 \(\max\) 用 ST 表。比较闲的话其实可以做到时间复杂度 \(\mathcal O\!\left(n+q^2\right)\)。
CF461E Appleman and a Game

st. 16:18 ed. 20:30
若给定一个串 \(s\),如何求出其最小操作次数?由于子串的性质,若能取出一个更长的子串而不取是不优的,这是在给下一个要取出的子串徒增限制。于是可以每次删去一个最长的后缀满足其是一个子串,贪心地得到答案。
有性质:设使用不超过 \(l\) 个子串最多可以操作出所有长度为 \(n\) 的串,则一定可以操作出所有长度不超过 \(n\) 的串。于是可以二分答案 \(l\)。
考虑矩阵优化 dp。期望上一个子串加上一个字符不能再出现,因此设 \(f_{i,c}\) 表示最短的用 \(i\) 个 \(t\) 中子串不能表示出的以字符 \(c\) 开头的串长度,再设 \(g_{c,d}\) 为最短的以 \(c\) 开头,且在结尾加上一个字符 \(d\) 就不再是 \(t\) 中子串的 \(t\) 中子串的长度,那么有转移方程
其中 \(g_{c,d}\) 可以在 \(t\) 的 SAM 中预处理得出。至此,二分 \(l\) 后矩阵快速幂即可,也可以优化为倍增,倍增的时间复杂度为 \(\mathcal O\!\left(|\Sigma|^2|t|+|\Sigma|^3\log n\right)\)。
CF444E DZY Loves Planting

st. 20.32 ed. 21:39
求 \(\min\) 的 \(\max\) 想到二分,二分答案 \(ans\) 后把所有边权不小于 \(ans\) 的边断掉,序列 \(P\) 既合法又满足 \(f(P)\ge ans\) 就可以转述为 \(i,p_i\) 属于不同的连通块,且 \(p_i\) 最多选 \(x_{p_i}\) 次。
将这种选择建出二分图计算最大匹配,使用 Hall 定理可知记一个连通块内部点数为 \(a\),外部 \(x_i\) 之和为 \(b\),若 \(a>b\) 则不存在合法序列。
进一步可以发现 \(ans\) 不需要二分,可以在 \(ans\) 递增的过程中用并查集动态地合并连通块。如果比较闲的话时间复杂度可以达到 \(\mathcal O(n\alpha(n)+V)\),其中 \(V\) 是边权的值域。
Day3
模拟赛T3 巡逻网络
先考虑 \(k=1\) 的情况。
原题中的 \(m+t\) 个点的曼哈顿距离之和可以拆成三部分:固定点间的贡献,可选点和固定点间的贡献,以及可选点间的贡献。第一个是定值,直接求出即可,第二个相当于是每个点有一个额外权值,记作 \(c_i\)。接下来处理第三个。
距离不预设大小是不好做的。若最终确定一些点 \(x_1,x_2,\dots,x_m\),假定 \(x_1\le x_2\le\dots\le x_m\),则曼哈顿距离之和为 \(\sum_{i=1}^m(2i-m-1)x_i\)。枚举顺序不太好,用状压预留位置然后一个个放进去是可以的。具体地,设 \(dp_{i,S}\) 表示考虑前 \(i\) 个位置,集合 \(S\) 已有数被填进去的贡献最大值。把 \(i\) 放进第 \(j\) 个位置时,它的贡献为 \((2j-m-1)x_i+c_i\)。这样的时间复杂度为 \(\mathcal O\!\left(nm2^m\right)\)。
当 \(k=2\) 时,类似地,设 \(dp_{i,S1,S2}\) 表示选中的点的 \(x\) 坐标占据 \(S1\) 集合,\(y\) 坐标占据 \(S2\) 集合的贡献最大值。由于有限制 \(|S1|=|S2|\),合法的状态数只有
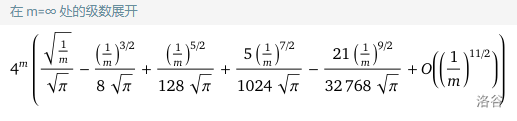
\(\displaystyle\sum_{i=0}^m\binom{m}{i}^2=\binom{2m}{m}\) 个,是 \(\displaystyle\mathcal O\!\left(\frac{4^m}{\sqrt m}\right)\) 级别的(可见 Wolfram|Alpha)。记实际状态数为 \(P\),则时间复杂度为 \(\mathcal O\!\left(nm^2P\right)\)。

当 \(m=4,k=1\) 时,选出的四个点中间三段的系数分别为 \(3,4,3\),所以这里可以直接设 \(dp_{i,j}\) 表示前 \(i\) 个数,选到第 \(j\) 段的贡献最大值。当 \(k=2\) 时再套一个上述的状压 dp 即可,此时时间复杂度变为 \(\mathcal O\!\left(nm^22^m\right)\)。

 
                
            
         
         浙公网安备 33010602011771号
浙公网安备 33010602011771号