集成学习3-Boosting
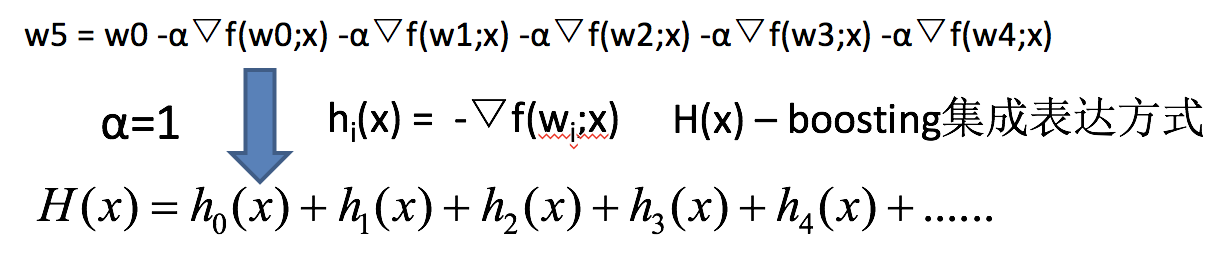
1 boosting集成原理
1.1 什么是boosting
- 随着学习的积累从弱到强,每新加入一个弱学习器,整体能力就会得到提升。
- 代表算法:Adaboost,GBDT,XGBoost
1.2 实现过程
- 1.训练第一个学习器

- 2.调整数据分布

- 3.训练第二个学习器

- 4.再次调整数据分布

- 5.依次训练学习器,调整数据分布

- 6.整体过程实现

总结:
1.初始化训练数据权重,初始权重是相等的
2.通过这个学习器,计算错误率
3.计算这个学习器的投票权重
4.对每个样本进行重新赋权
5.重复前面1-4
6.对构建后的最后的学习器进加权投票
1.3 关键点:
- 如何确认投票权重?
- 如何调整数据分布?

1.4 AdaBoost的构造过程小结

1.5 bagging集成与boosting集成的区别:
- 数据方面:
- bagging:重新采样
- boosting:对数据进行权重调整
- 投票方面:
- bagging:平权
- boosting:加权
- 学习顺序方面:
- bagging:并行
- boosting:串行
- 主要作用:
- bagging:过拟合
- boosting:欠拟合

1.6 api介绍
- from sklearn.ensemble import AdaBoostClassifier
2 梯度提升决策树(GBDT Gradient Boosting Decision Tree)
- GBDT = 梯度下降 + Boosting + 决策树

2.1 GBDT执行流程

2.2 案例
预测编号5的身高:
| 编号 | 年龄(岁) | 体重(KG) | 身高(M) |
|---|---|---|---|
| 1 | 5 | 20 | 1.1 |
| 2 | 7 | 30 | 1.3 |
| 3 | 21 | 70 | 1.7 |
| 4 | 30 | 60 | 1.8 |
| 5 | 25 | 65 | ? |
- 第一步:计算损失函数,并求出第一个预测值:

- 第二步:求解划分点

得出:年龄21为划分点的方差=0.01+0.0025=0.0125 - 第三步:通过调整后目标值,求解得出h1(x)

- 第四步:求解h2(x)

- 得出结果:

编号5身高 = 1.475 + 0.03 + 0.275 = 1.78
2.3 GBDT主要执行思想
1.使用梯度下降法优化代价函数;
2.使用一层决策树作为弱学习器,负梯度作为目标值;
3.利用boosting思想进行集成。
3 XGBoost
XGBoost= 二阶泰勒展开+boosting+决策树+正则化
-
Boosting:XGBoost使用Boosting提升思想对多个弱学习器进行迭代式学习
-
二阶泰勒展开:每一轮学习中,XGBoost对损失函数进行二阶泰勒展开,使用一阶和二阶梯度进行优化。
-
决策树:在每一轮学习中,XGBoost使用决策树算法作为弱学习进行优化。
-
正则化:在优化过程中XGBoost为防止过拟合,在损失函数中加入惩罚项,限制决策树的叶子节点个数以及决策树叶子节点的值。
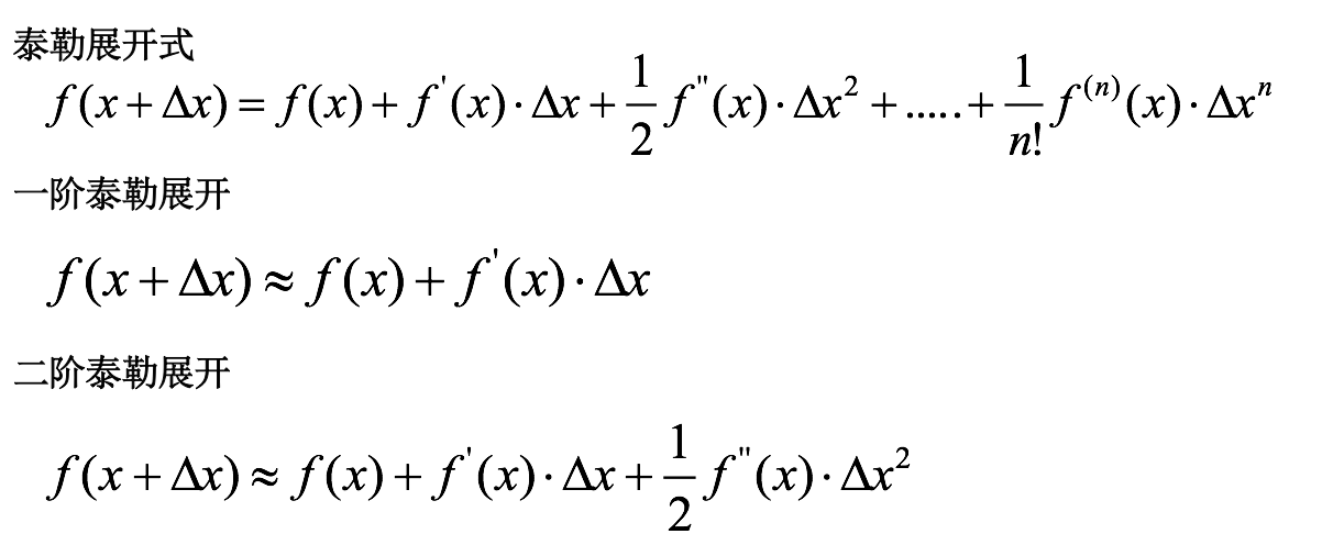
4 什么是泰勒展开式

泰勒展开越多,计算结果越精确

浙公网安备 33010602011771号