leetcode 160. 相交链表
题目链接 https://leetcode-cn.com/problems/intersection-of-two-linked-lists/
思路
开始是用双重循环暴力解法,然后参考了评论区大神的解法,记录一下。
- case 1:两个链表一样长,只需要两个链表的游标每次都前进一步,第一次相等的位置即为公共节点。
- case 2:两个链表不一样长,这时候解法就多了,大神各显神通,一种解法是先分别求出两个链表的长度,然后将他们同步到一样长的位置,用case 1的解法。第二种解法就厉害多了。下面具体讲这个。

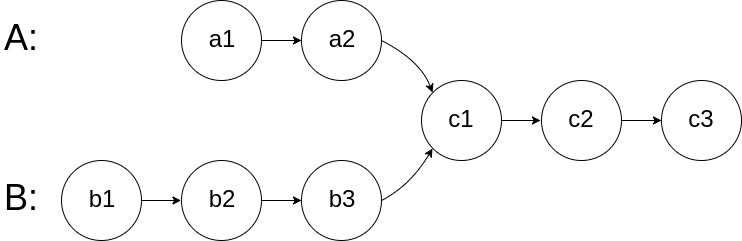
就比如说这两个链表
虽然这两个链表的长度不一样,但是他们相加的长度一样啊,如果我们A链表走到表尾后,下一步是B链表的表头,同样B链表走到表尾,下一步是A链表的表头。如下
a1 a2 c1 c2 c3 b1 b2 b3 c1 c2 c3
b1 b2 b3 c1 c2 c3 a1 a2 c1 c2 c3
由于最后面公共元素是一样的,所以他们一定能在两趟内找到公共点。
代码如下
/**
* Definition for singly-linked list.
* public class ListNode {
* int val;
* ListNode next;
* ListNode(int x) {
* val = x;
* next = null;
* }
* }
*/
public class Solution {
public ListNode getIntersectionNode(ListNode headA, ListNode headB) {
ListNode p,q;
p=headA;
q=headB;
while(p!=q){
p=(p==null)?headB:p.next;
q=(q==null)?headA:q.next;
}
return q;
}
}

浙公网安备 33010602011771号