神经网路
此系列笔记来源于
Coursera上吴恩达老师的机器学习课程
用神经网络表示逻辑回归问题


我们的输入作为树突进行电输入,并被传输到轴突作为输出。
这里的输出就是各个特征\(x_1 \cdots x_n\),输出便是我们的假设函数,另外在这个模型中,我们称输入\(x_0\)为偏置单元(类似于线性方程 \(y = kx + b\) 中的截距 \(b\)),其总等于1
同时,我们称逻辑函数 \(g = \frac{1}{1+e^{-\theta^Tx}}\) 为(逻辑)激励函数(sigmoid activation function),而参数 \(\theta\) 被称为权重
模型可以简单被表示为:
\([x_0\;x_1\;x_2] \rightarrow [\;\;] \rightarrow h_\theta(x)\)
而第一层特征的输入被称为 输入层,最后一层假设函数的输出被称为 输出层
而在输入层和输出层中间的被称为隐藏层,中间的\(a_0^2\cdots a_n^2\)被称为激活单元
模型便可以表示为:
\([x_0\;x_1\;x_2\;x_3] \rightarrow [a_1^{(2)}\;a_2^{(2)}\;a_3^{(2)}] \rightarrow h_\theta(x)\)
此处的激活单元可以被表示成

计算这些激活单元是通过一个存放参数的矩阵 \(\Theta^{(j)}\)
如果第 \(j\) 层中有 \(s_j\) 个单元,第 \(j + 1\) 层中有 \(s_{j + 1}\) 个单元,那么 \(\Theta^{(j)}\) 的纬度便是 \(s_{j+1} \times (s_j + 1)\),这里的 \(+1\) 来自偏置单元····
我们令\(a_i^{(2)} = g(z_i^{(2)}),\;i=1、2、3\),即\(z_k^{(2)} = \Theta_{k,0}^{(1)}x_0+\Theta_{k,1}^{(1)}x_1+\cdots+\Theta_{k,n}^{(1)}x_n\)
向量化后的\(x\)和\(z^j\)为 \(x=\begin{bmatrix}x_0\\x_1\\\cdots\\x_n\end{bmatrix},\;z^{(j)}=\begin{bmatrix}z_1^{(j)}\\z_2^{(j)}\\\cdots\\z_n^{(j)}\end{bmatrix}\)
我们再令\(x=a^1\),则\(z^{(j)}=\Theta^{(j-1)}a^{(j-1)},\;a^{(j)}=g(z^{(j)})\)
对于每一层\(j\),我们还得添加一项\(a_0^{(j)}恒等于1\)
最后一个\(\Theta\)矩阵只有一行,因此最后得到的是一个数字,也就是最终的\(h_\Theta(x)\)
样例 OR function

多类别分类问题

如图,我们根据每个训练集\((x^{(i)},\;y^{(i)})\),能最终得到一个\(h_{\Theta}(x)\),如图所示,以此来判断每个训练集属于哪个类别

个人总结
简单来说,神经网络就是一个由输入值、中间隐藏层、输出层构成的学习模型、方法。在每两层之间,我们会设定权重和一个计算方式,权重用\(\Theta\)矩阵表示,第 i 行 第 j 列表示从前一列的第 j 个元素到下一列的第 i 个元素的权重。通过神经网络的层层计算,我们最终便能得到所要的结果。
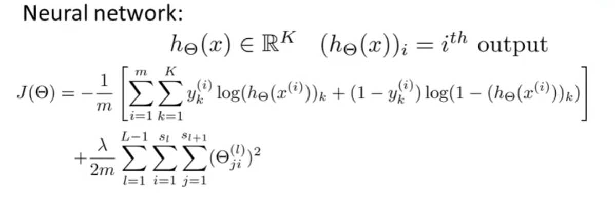
代价函数

y 是 向量的形式,如 \(\begin{bmatrix} 0 \\ 0 \\ 1 \\ 0\end{bmatrix}\)
反向传播算法 Backpropagation Algorithm
"反向传播 "是神经网络术语,用于最小化我们的成本函数,就像我们在逻辑回归和线性回归中的梯度下降一样。我们的目标是计算\(\min_\Theta J(\Theta)\),也就是说,我们希望使用\(\Theta\)中的一组最佳参数来最小化我们的成本函数\(J\)。
下面是计算\(J(\Theta)\)偏导的方法
偏导方程:\(\dfrac{\partial}{\partial \Theta_{i,j}^{(l)}}J(\Theta)\)
首先已知训练集
令\(\Delta_{i,j}^{(l)}:=0,\;for\;all\;(l,i,j)\)
接下来对于每一组训练样本 \(t=1,2,3,\cdots,m\)
1、令\(a^{(1)}:=x^{(t)}\)
并且通过前向传播(forward propagation) 计算\(a^{(l)},\;l=1,2,3,\cdots,L\)

3、先根据\(y^{(t)}\),计算 \(\delta^{(L)}=a^{(L)}-y^{(t)}\),其中 L 是总层数,\(a^{(L)}\)是最后一层激活单元的输出向量,因此这里的误差值计算就是最后一层的实际结果和y中的正确输出之间的差值
4、进行反向传播

这里的 \(a^{(l)}\;.*\;(1-a^{(l)})\) 是 g函数的导数,即 \(g'(z^{(l)})=a^{(l)}\;.*\;(1-a^{(l)})\)
另外注意 \(\delta\) 到第二层计算就结束了,第一层没有,并且每一层的各个 \(\delta\) 只与当前层和下一层有关。
5、计算\(\Delta\)

右边的是向量化后的公式。
最后我们便能得到

而\(\frac{\part}{\part\Theta_{i,j}^{(l)}}J(\Theta)=D_{i,j}^{(l)}\)
另外,在单分类和单组数据的情况下,我们可以这样来理解

系数矩阵展开至向量
为了能使用优化函数,如“fminunc()”,我们需要将 \(\Theta\) 和 \(D\) 矩阵放进一个长向量里面
thetaVector = [ Theta1(:); Theta2(:); Theta3(:); ]
deltaVector = [ D1(:); D2(:); D3(:) ]
如此一来我们便可以将矩阵传参给优化函数
然后我们需要获取各个系数矩阵 假设 Theta1 和 Theta2 都是10x11 的矩阵,Theta3 是 1x11 的矩阵
获取方式如下:
Theta1 = reshape(thetaVector(1:110),10,11) %把长向量第 1-110 个元素放进一个 10 x 11 的矩阵
Theta2 = reshape(thetaVector(111:220),10,11)
Theta3 = reshape(thetaVector(221:231),1,11)
总结:

梯度检验
反向传播算法以及一些其他算法非常复杂,因此十分容易出现bug,哪怕答案貌似正确,因此我们需要使用梯度检验,来保证正确性。
梯度检验简单来说就是通过数值计算来验证梯度计算的正确性,公式:
对于单个 \(\Theta\):

对于多个 \(Theta\):

另外,\(\epsilon\)不宜太小,避免出现数值计算的错误,一般来说 \(1e^{-4}\) 较为合适
代码:
epsilon = 1e-4;
for i = 1 : n,
thetaPlus = theta;
thetaPlus(i) += epsilon;
thetaMinus = theta;
thetaMinus(i) -= epsilon;
gradApprox(i) = (J(thetaPlus) - J(thetaMinus)) / (2 * epsilon)
end;
并且,我们一旦验证了一次反向转播算法是正确的后,就不要再次计算 gradApprox,因为用数值计算来验证梯度的方法,代码运行效率非常低。
随机初始化
随机初始化的目的是打破对称性,对称性指 当初始化权重矩阵时,填充了相等的值,那么神经元在向前向后传播时的表现相似。
因此我们会对权重矩阵随机初始化
%If the dimensions of Theta1 is 10x11, Theta2 is 10x11 and Theta3 is 1x11.
Theta1 = rand(10,11) * (2 * INIT_EPSILON) - INIT_EPSILON; %[-epsilon, epsilon]
Theta2 = rand(10,11) * (2 * INIT_EPSILON) - INIT_EPSILON;
Theta3 = rand(1,11) * (2 * INIT_EPSILON) - INIT_EPSILON;
总结
训练一个神经网络的步骤:
1、随机初始化权重矩阵
2、对各个训练集,用前向传播计算 \(h_\Theta(x^{(i)})\)
3、使用 cost function 计算代价
4、使用反向传播算法计算偏导 \(\frac{\part}{\part\Theta_{i,j}^{(l)}}J(\Theta)\)
5、用梯度检验 来确保反向传播算法正确运行,检验完便不再梯度检验
6、利用梯度下降算法或者内置优化算法 和 反向传播算法 来更改权重矩阵,以此最小化代价函数

在最小化过程中,反向传播算法用来确认下降方向。

浙公网安备 33010602011771号