计算机网络---内积判断是否向站内发送数据
https://blog.csdn.net/Nimrod__/article/details/113448050 这个链接是讲的关于内积的判断
- 一个站如果要发送比特1,则发送他自己的mbit码片序列。
- 一个站如果要发送比特0,则发送自己的mbit码片序列的反码。

在码分多址中,任何一个站和其他各占的码片反码的向量的内积也是0。
任何一个码片向量和自己码片反码的向量的内积为-1
任何一个码片向量和自己码片反码的向量的内积为1
一、码片的选择标准,要满足一下两点:
- 码片序列各不相同
- 码片正交(规格化内积为零)
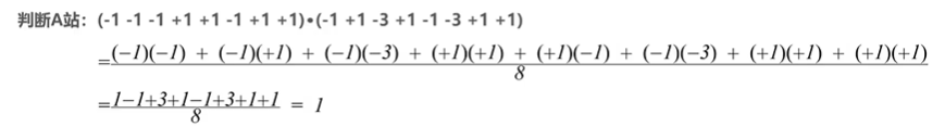
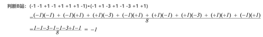
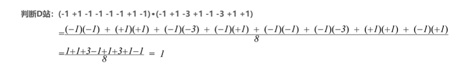
- 二、 对于叠加向量中要计算某一基站的码片发送了什么信号,用该码片与叠加信号相乘:
- 其结果为1,说明该基站发送信号为1
其结果为-1,说明该基站发送信号为0
其结果为0,说明该基站没有发送信号


用收到的码片序列分别与各站的码片序列进行内积运算,再结合上面的结论:
若计算结果为1,则被判断的站发送了比特1;
若计算结果为-1,则被判断的站发送了比特0;
若计算结果为0,则被判断的站未发送数据;




可知A站发送信号为比特1;B站发送信号为0;C站没有发送信号;D站发送的信号为1;


浙公网安备 33010602011771号