表达式求值的双栈原理
转载:AcWing 3302. 表达式求值:多图讲解运算符优先级+详细代码注释 - AcWing
先看下只有 + 和 * 的。
输入长度为n的字符串,例如:1+2+3*4*5
输出表达式的值,即:63
应该用什么数据结构?
栈。
应该先计算哪一步?
实际应该先计算1+2。
“表达式求值”问题,两个核心关键点:
(1)双栈,一个操作数栈,一个运算符栈;
(2)运算符优先级,栈顶运算符,和,即将入栈的运算符的优先级比较:
如果栈顶的运算符优先级低,新运算符直接入栈
如果栈顶的运算符优先级高,先出栈计算,新运算符再入栈
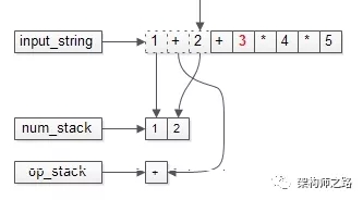
仍以1+2+3*4*5举例,看是如何利用上述两个关键点实施计算的。
首先,这个例子只有+和*两个运算符,所以它的运算符表是:

这里的含义是:
(1)如果栈顶是+,即将入栈的是+,栈顶优先级高,需要先计算,再入栈;
(2)如果栈顶是+,即将入栈的是*,栈顶优先级低,直接入栈;
(3)如果栈顶是*,即将入栈的是+,栈顶优先级高,需要先计算,再入栈;
(4)如果栈顶是*,即将入栈的是*,栈顶优先级高,需要先计算,再入栈;
有了运算符表,一切就好办了。

一开始,初始化好输入的字符串,以及操作数栈,运算符栈。

一步步,扫描字符串,操作数一个个入栈,运算符也入栈。

下一个操作符要入栈时,需要先比较优先级。
栈内的优先级高,必须先计算,才能入栈。

计算的过程为:
(1)操作数出栈,作为num2;
(2)操作数出栈,作为num1;
(3)运算符出栈,作为op;
(4)计算出结果;

(5)结果入操作数栈;

接下来,运算符和操作数才能继续入栈。下一个操作符要入栈时,继续比较与栈顶的优先级。
栈内的优先级低,可以直接入栈。

字符串继续移动。

又要比较优先级了。

栈内的优先级高,还是先计算(3*4=12),再入栈。

不断入栈,直到字符串扫描完毕。

不断出栈,直到得到最终结果3+60=63,算法完成。
总结
“表达式求值”问题,两个核心关键点:
(1)双栈,一个操作数栈,一个运算符栈;
(2)运算符优先级,栈顶运算符,和,即将入栈的运算符的优先级比较:
如果栈顶的运算符优先级低,新运算符直接入栈
如果栈顶的运算符优先级高,先出栈计算,新运算符再入栈
这个方法的时间复杂度为O(n),整个字符串只需要扫描一遍。
运算符有+-*/()~^&都没问题,如果共有n个运算符,会有一个n*n的优先级表。
代码如下:
#include <bits/stdc++.h> using namespace std; typedef long long LL; stack<int> num; stack<char> op; unordered_map<char, int> h{{'+', 1}, {'-', 1}, {'*', 2}, {'/', 2}}; void eval() { int a = num.top(); num.pop(); int b = num.top(); num.pop(); char c = op.top(); op.pop(); if (c == '+') num.push(a + b); if (c == '-') num.push(b - a); if (c == '/') num.push(b / a); if (c == '*') num.push(a * b); } int main() { string s; cin>>s; for(int i=0;i<s.size();i++) { if(isdigit(s[i])) { int x=0,j=i; while(j<s.size()&&isdigit(s[j])) { x=x*10+s[j]-'0'; j++; } num.push(x); i = j - 1; } else { if(s[i]=='(') op.push(s[i]); else if(s[i]==')') { while(op.top()!='(') eval(); op.pop(); } else { while(!op.empty()&&h[op.top()]>=h[s[i]]) eval(); op.push(s[i]); } } } while(!op.empty()) eval(); cout<<num.top()<<endl; }

浙公网安备 33010602011771号