常见激活函数求导
废话少说,直接开干!
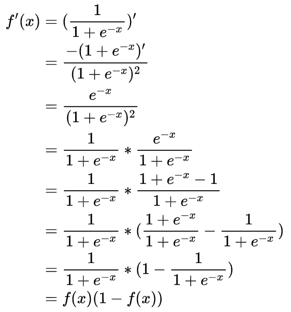
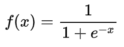
Sigmoid
函数形式
求导过程

如果求导已经还给数学老师了的话,可以参考链式法则版本:Sigmoid 函数的求导过程
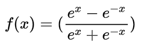
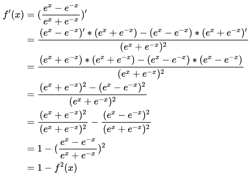
Tanh
函数形式

求导过程

链式法则求导:Tanh 激活函数及求导过程
ReLU
太简单,跳过
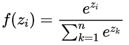
SoftMax
SoftMax常被用作多分类输出层的激活函数,用来将输出结果转化为概率。SoftMax数学特性很好,因为其与交叉熵损失(log损失)函数一起求导,求导结果刚好等于预测值减去label。
SoftMax函数形式

交叉熵损失函数形式

其中
为可能的类别数,
为样本标签,通常是一个大小为N维的one-hot向量,即
,只有 ,其余位置值为零。
所以损失函数又可以表示为下面的形式
SoftMax函数的输入是一个向量

经过SoftMax函数后,输出另一个向量,且向量中所有值的和为1

我们的目标是求 损失函数 对向量
的导数,即
.
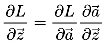
根据链式法则有:

其中
是一个标量,标量对向量求导结果还是一个向量,求导公式如下:

和
都是向量,向量对向量求导,结果为雅可比矩阵,求导公式如下:

逐步求导:
1、求
由 ,可知最终的Loss只跟
有关。
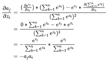
2、求
向量对向量求导的公式刚刚已经做过介绍,是一个雅可比矩阵
由于
只有第j列不为0,由矩阵乘法,其实我们只要求第j行,也即
,
,其中
。
(1)当
时
(2)当 时

综上所述

推荐一个好用的 LaTeX 公式编辑器:https://www.latexlive.com/##

浙公网安备 33010602011771号