为何二叉树如此重要,而不是三叉树四叉树?
为何二叉树如此重要,而不是三叉树四叉树?
性能对比:
- 数组:查找块O(1),增删慢O(n)
- 链表: 查找慢O(n),增删块O(1)
- 二叉搜索树BST: 查找快、增删快。二叉树可以使用二分法算法
平衡二叉树
- BST如果不平衡,那就成了链表了,无法做到最优秀
- 所以要尽量平衡,即平衡二叉搜索树 BBST
- BBST增删查,时间复杂度都是O(logn),即树的高度
总结:
- 数组、链表都各有缺点
- 特定的二叉树,即平衡二叉树BBST 可以让整体效果最优
- 所以我们说二叉树很重要,而不是三叉四叉树,因为无法使用二分算法实现最优解
堆:
JS执行时,代码中的变量
-
-
- 值类型 - 存储到栈里
- 引用类型 - 存储到堆里
-

堆的特点:
-
-
- 堆是一个完全二叉树,即如果填不满先保证左边填满。
- 满二叉树: 树的所有都是填满的
- 完全二叉树: 如果不能保证都填满,就先让左边填满,右边空着
- 堆是一个完全二叉树,即如果填不满先保证左边填满。
-

-
-
- 节点的值,总是不大于(或不小于)其父节点的值
- 最大堆: 父节点 >= 子节点
- 最小堆: 父节点 <= 子节点
-

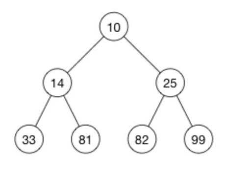
上图为最小堆,即父节点<= 子节点
堆和搜索二叉树BST 区别:
-
-
- 堆虽然逻辑上是二叉树,但实际上它使用数组来存储;而BST 是对象:{value,left,right}。
- 上图的最小堆,用数组来表示
const heap = [-1,10,14,25,33,81,82,99] // 忽略0 节点
-
节点关系:根据一个节点的位置i,可以获取到父节点的位置 和 左右两个子节点的位置
//节点关系 const parentIndex = Math.floor( i/2) const leftIndex = 2 * i const rightIndex = 2* i + 1
eg: heap 中 元素 25 的索引值为:3;所以 父节点索引值= Math.floor(3 /2) = 1, leftIndex = 2,rightIndex = 3;即 25的父节点和两个子节点分别为:10 33 81
- 上图的最小堆,用数组来表示
- 堆的排序没有BST那么严格(BST必须是左节点比父节点小,右节点比父节点大),所以查询起来比BST 慢
- 但结合堆的应用场景,一般使用内存地址(栈中已经保存了)来查询,不会直接从根节点开始搜索查询
- 堆的物理结构是数组,所以查询复杂度就是O(1)
- 堆的增删比BST 快,维持平衡也更快
- 堆和BST 的时间复杂度都是O(logn),即树的高度
- 堆虽然逻辑上是二叉树,但实际上它使用数组来存储;而BST 是对象:{value,left,right}。
-
堆的使用场景:
-
- 特别适合“堆栈模型”(比如 JS代码的执行,值类型变量和引用类型变量的存储)
- 堆的数据,都是在栈中应用的,不需要从root遍历
- 堆恰巧是数组形式,根据栈的地址,可用O(1)找到目标

浙公网安备 33010602011771号