会员
众包
新闻
博问
闪存
赞助商
HarmonyOS
Chat2DB
所有博客
当前博客
我的博客
我的园子
账号设置
会员中心
简洁模式
...
退出登录
注册
登录
哇咔咔名字难起啊
CnBlogs
Home
New Post
Contact
Admin
Subscription
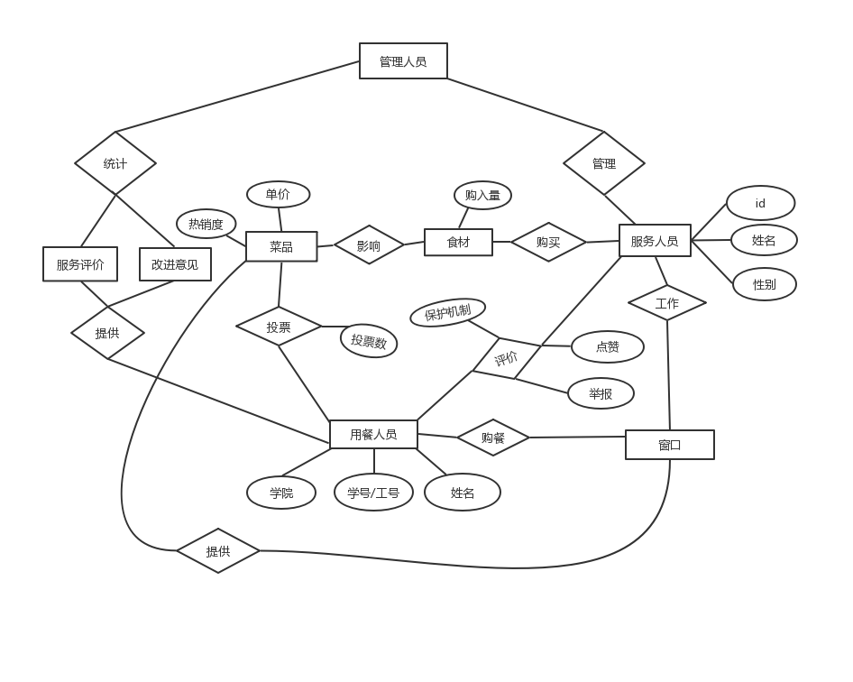
团队作业:ER图和数据表
学校餐厅管理系统
数据表:
ER图
posted @
2019-05-12 22:59
哇咔咔名字难起啊
Views(
282
) Comments(
0
)
收藏
举报
刷新页面
返回顶部
公告