论文笔记:LGLMF: Local Geographical based Logistic Matrix Factorization Model for POI Recommendation
Rahmani, Hossein A., et al. “LGLMF: Local Geographical Based Logistic Matrix Factorization Model for POI Recommendation.” Asia Information Retrieval Symposium, 2019, pp. 66–78.
摘要:随着基于位置的社交网络的快速发展,个性化兴趣点 (POI) 推荐已成为帮助用户探索周围环境的关键任务。由于签到数据的稀缺性,地理信息的可用性为提高 POI 推荐的准确性提供了机会。此外,矩阵分解方法提供了可用于 POI 推荐的有效模型。然而,为了提高 POI 推荐方法的性能,应该解决两个主要挑战。首先,利用地理信息来捕捉用户的个人、地理概况和位置的地理流行度。其次,将地理模型纳入矩阵分解方法。针对这些问题,本文提出了一种基于本地地理模型的 POI 推荐方法,该方法同时考虑了用户和位置的观点。为此,通过考虑用户的主要活动区域以及该区域内每个位置的相关性,提出了一个有效的地理模型。然后,将提出的本地地理模型融合到 Logistic Matrix Factorization 中,以提高 POI 推荐的准确性。在两个众所周知的数据集上的实验结果表明,所提出的方法优于其他最先进的 POI 推荐方法。
从摘要可以看出,本篇论文主要提出的创新点是 同时考虑用户和POI的观点,将捕捉到的信息融入 Logistic Matrix Factorization 中。
在推荐方法中,数据稀疏是一个很大的问题。对于POI推荐来说,面对巨量的POI,每个用户访问过的POI是极其有限的。本文通过将地理影响建模为重要的上下文信息,在所提出的方法中解决了稀疏问题的。
本文所提出的 POI 推荐方法,称为基于本地地理的 Logistic 矩阵分解 (LGLMF)。 LGLMF 包括两个主要步骤。 第一步,基于用户和位置的观点提出本地地理模型(LGM)。 然后,在第二步中,将 LGM 融合为逻辑矩阵分解 (LMF) 方法。 融合矩阵分解模型用于预测用户的偏好。
所以算法模型主要由两部分组成:Local Geographical Model 和 Logistic Matrix Factorization融合Local Geographical Model中获得的user-POI偏好。
现在逐个看一下这两个模块:
1. Local Geographical Model
定义用户集:U={u1,u2……um}
定义POI集:P={p1,p2……pn}
令
是一个用户-POI 签到频率矩阵,其中有 m 个用户和 n 个 POI。矩阵中的每个值表示用户u 到POI p 的签到频率。
接下来引出两个定义:

即X是用户u未来可能访问的POI的集合,X的数量是≤用户u曾经访问过的POI的数量的,且用户u未来可能去的POI不是该用户曾经访问过的POI中的。

此处定义POI的地理影响。当用户u访问过POI pi时,用户会对该POI周围一定范围内的POI感兴趣。
用户u访问过的POI pi的邻居数量
pui=1 - ——————————————
用户u访问过的POI的数量和
算法流程:

该算法由三个内循环组成,用于对地理信息进行建模,前两个循环对用户所在区域(第 2 - 5 行)进行建模,第三个循环计算考虑到对邻近 POI 的访问,用户更喜欢邻里内的 POI(第 6 - 10 行)。为了对用户的区域建模,我们需要找到每个用户的高活动位置(在现实世界中,这可能是用户的居住区域)。为此,用户最常签到的 POI 被用来推断他/她的高活动位置(第 1 行)。然后,我们扫描未访问的 POI 列表,以找到那些位于该用户的同一区域(区域内)内的 POI,即距离用户高活动位置(用户的角度)α 公里以内的那些(第 5 行)。此外,基于每个用户的区域内 POI,我们考虑签入的邻近 POI 的影响,这些 POI 与未访问的 POI 的距离小于 γ 米(位置的视角)(第 7-10 行)。
最终获得一个用户-POI偏好矩阵,此矩阵结合了用户和POI的角度。
2. Logistic Matrix Factorization
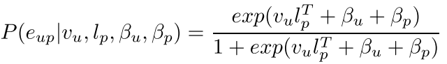
个人感觉这一步需要一些item-based的知识积累:通常,基于 MF 的推荐的目标是找到两个低秩矩阵,包括用户因素矩阵 V ∈ Rmxk 和项目因素矩阵 L ∈ Rmxk,其中 k 是潜在因素的数量,使得内部 这两个矩阵的乘积近似矩阵Cˆ,即 Cˆ = V × LT。 V (vu ∈ V) 的每一行代表用户行为的用户向量,L (lp ∈ L) 的每一行代表物品属性的行为。
本算法中用户u和POI p的矩阵分解同理。
所以用户U对POI p的偏好定义为:

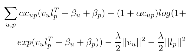
取对数更方便计算,所以最终的目标函数为:

然后如论文所说,结合上二者的影响:

本文提出的算法基本就是这样。

浙公网安备 33010602011771号