删除链表的倒数第N个节点
给你一个链表,删除链表的倒数第 n 个结点,并且返回链表的头结点。
进阶:你能尝试使用一趟扫描实现吗?
示例 1:

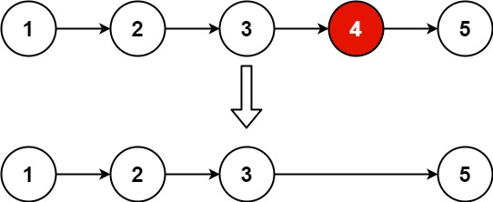
输入:head = [1,2,3,4,5], n = 2
输出:[1,2,3,5]
示例 2:
输入:head = [1], n = 1
输出:[]
示例 3:
输入:head = [1,2], n = 1
输出:[1]
解题思路:
本题使用双指针来实现一边遍历得出结果。首先new一个fast节点,然后把head用fast节点存储起来,作为链表的头结点(设置头结点,就是为了防止链表只有一个元素的情况,只有一个的话不会删除),然后new一个slow节点,准备从头遍历。
先让fast指针遍历n次,然后fast一直遍历到表头,slow与fast同步遍历,当fast遍历到表尾,slow正好与表尾差n,正好在倒数第n处。
注意循环判断的条件,先判断fast.next是否为空,不为空再继续遍历。
public ListNode removeNthFromEnd(ListNode head, int n) { ListNode fast = new ListNode(0); fast.next = head; head = fast; ListNode slow = fast; int i = 0; while(true){ if(i < n) { fast = fast.next; i++; } else{ if(fast.next == null){ slow.next = slow.next.next; break; } else { slow = slow.next; fast = fast.next; } } } return head.next; }
                    
                
                
            
        
浙公网安备 33010602011771号