堆和堆排序
堆的定义:
1. 堆是一棵完全二叉树。
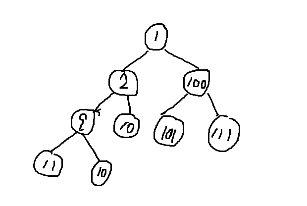
2. 大根堆:
堆的每一个子树的父亲永远大于其左孩子和右孩子,如下图:

3.小根堆:
堆的每一个子树的父亲永远小于于其左孩子和右孩子。
堆的性质:
1. 小根堆的堆顶永远存放着最小值,大根堆的堆顶永远存放着最大值
2. 堆的每一层上的数不一定比下一层全部要小或大。
3. 因为是一颗完全二叉树,所以用数组存储即可,父节点下标为i,则left_child=i*2, right_child=i*2+1.
堆的操作:
建立一个小根堆:
在堆尾加入元素(当前结点)并比较它与父节点的大小,若大于则结束,否则交换他们的值并把父节点置为当前节点,向上调整。
代码:
int heap[100000000];
void put(int x){
int pa,son;
heap[++heap_size]=x;
son=heap_size;
while(son>1){
pa=(son/2);
if(heap[pa]<=heap[son]) break;
swap(heap[pa],heap[son]);
son=pa;
}
}
建立一个大根堆:
只需要改动一个地方(第8 行):
if(heap[pa]<=heap[son]) break;
改为:
if(heap[pa]>=heap[son]) break;
取出一个(堆顶)元素(这里以小根堆为例):
1.取出堆顶值。
2.把堆的最后一个元素放到堆顶上,并把堆的长度减一。
3.从上到下动态调整,每一次取左右子节点中较大的进行交换,并将当前指针指向下一个(被交换的)位置。
代码如下:
int get(){//获得堆顶元素
int now,next;
int res;
res=heap[1];//获取堆顶元素
heap[1]=heap[heap_size--];//将堆底最后一个元素放到堆顶;
now=1;
while(now*2<=heap_size){//保证now不在最后一层(否则next会超出范围)
next=now*2;//先选左节点
if(next<heap_size&&heap[next+1]<heap[next]) next++;//判断是选择左结点还是右结点,若执行了则选了右结点(别忘了在保证不超堆的范围内)
if(heap[now]<=heap[next]) return res;//如果放上去的无需调整则直接结束
swap(heap[now],heap[next]);
now=next;
}
return res;
}
堆排序:
输入n个数,将n个数从小到大输出:
解析:
建立一个小根堆,然后每次取出堆顶即可,这就是堆排序。
代码1:
#include<iostream>
using namespace std;
int heap[100000000];
int heap_size=0;
//建堆(小根堆)
void put(int x){
int pa,son;
heap[++heap_size]=x;
son=heap_size;
while(son>1){
pa=(son/2);
if(heap[pa]<=heap[son]) break;
swap(heap[pa],heap[son]);
son=pa;
}
}
int get(){//通过获得堆顶元素(最小值)来实现从小到大排序
int now,next;
int res;
res=heap[1];//获取堆顶元素
heap[1]=heap[heap_size--];//将堆底最后一个元素放到堆顶;
now=1;
while(now*2<=heap_size){//保证now不在最后一层(否则next会超出范围)
next=now*2;//先选左节点
if(next<heap_size&&heap[next+1]<heap[next]) next++;//判断是选择左结点还是右结点
if(heap[now]<=heap[next]) return res;
swap(heap[now],heap[next]);
now=next;
}
return res;
}
int main(){
int n,x;
cin>>n;
for(int i=1;i<=n;i++){
cin>>x;
put(x);
}
for(int i=1;i<=n;i++){
cout<<get()<<' ';
}
cout<<endl;
return 0;
}
小结:
堆排序效率较高,时间复杂度为:O(nlog2n),是一种不稳定的排序方法。
优先队列:
有关优先队列的相关介绍请参考:https://www.cnblogs.com/xiaotan-js/p/16644818.html
一般来说,没人会手写堆和堆排序,以上就是关于堆这一数据结构的介绍,而真正使用堆,大部分人都会选择STL中的优先队列:
代码2:
#include<queue>
#include<iostream>
using namespace std;
priority_queue<int,vector<int>,greater<int> > q;
int n,x;
int main(){
cin>>n;
for(int i=1;i<=n;i++){
cin>>x;
q.push(x);
}
for(int i=1;i<=n;i++){
cout<<q.top()<<' ';
q.pop();
}
return 0;
}
是不是简洁很多?

浙公网安备 33010602011771号