软件需求与分析课堂测试 –结构化建模分析1
今天在系主任课上的测试,题目是:
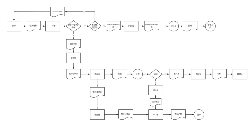
住户到一门市办理业务,若进户及更户要求,可在一门市直接办理,以更新物业管理基本信息,其他业务需求要制作管理签报,连同各种相关材料送管理处处理;
管理处3天内完成核实情况工作,制作售房登录表后,送资料室;
资料室3天内完成核对和整理,将签报送经理室,售房登录表送电脑房;
经理对签报报表进行审核,若不同意,退回资料室,并当天返回管理处,以补充规定有关材料或向住户说明不批准原因;同意的材料,由资料室在2日内完成注记工作,开租赁凭证后送一门市;
电脑房收到资料室传来的售房登录表后,2日内制作完成售房计算表送一门市;
一门市2日内填写售房合同,等待住户签定合同,将合同交住户付款;
住户凭付款凭证办理退房等相关业务,结清租金;
办结完成后,一门市将资料送至管理处,由管理处制作动态签报,送资料室;
资料室3天内完成整理所有资料的工作,报经理室,经理室3日内审批后送记账室,更新物业管理基本信息,所有信息由统计员制作各种报表以备相关人员查询打印。
问题:
1、绘制系统上下文图;

2、绘制业务流程图;

浙公网安备 33010602011771号