(图论进阶笔记)【连通性】
【连通性】
图的基本概念
图论基本定理
对于任何无向图\(G = (V, E)\),有\(\sum_{v \in V} d(v) = 2|E|\)(度数为边数的两倍)。
推论:在任意图中,度数为奇数的点必然有偶数个。
连通分量:无向图
对于一个不连通的无向图,它会被分割成多个极大连通子图,每个这样的子图称为一个连通分量
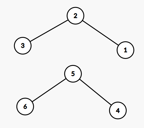
eg

[1-2-3] [4-5-6]是连通分量
※[1-2]不是 要加一个3才是
强联通分量:有向图
有向子图的节点两两互相可达
割点/点割集
一般对于无向图
若删除某点后,图不再连通(任意两点不互达)->这样的点是割点
【性质】
从1~n一定要经过的点
割边/桥
与割点求法十分类似,都是Tarjan
若删除某边后,图不再连通(任意两点不互达)->这样的边是割边
【性质】
从1~n一定要经过的边
点连通度
最少需要删除的顶点数,使得图不再连通
边连通度
最少需要删除的边数,使得图不再连通
Whitney 定理
对任意的图\(G\),有\(\kappa(G) \leq \lambda(G) \leq \delta(G)\)
点连通度\(\leq\)边连通度\(\leq\)最小度
点双连通VBCC
没有割点的图

1为割点
\([1-4-5]、[1-2-3]\)为点双连通分量
边双连通EBCC
没有桥的图

\([2-5]、[2-6]\)是桥
若分\([2-5]\):\([1-4-2-3]、[5-6]\)是边双连通分量
稀疏图/稠密图
比较边数和点数的平方
【DAG】有向无环图
【性质】
(1)可拓扑排序
(2)可DP求最短路,复杂度可降至\(O(n+m)\)
无向连通图
不含环:树
包含恰好一个环:基环树
二分图
一张图的点集可以被分为两部分,每一部分的内部都没有连边

特殊点集/边集
支配集:选择一个点/边集合,满足所有点要么在该集合内,要么与该集合内的点为邻居

\([1-2]、[1]、[1-2-3]\)都是支配集
独立集:选择一个点/边集合,满足集合内该点互不相邻

\([1-4-6]\)是独立集
匹配:从图中选取一组边,使得这些边中的任意两条边没有公共的顶点
点覆盖:一个点集,使得每条边至少有一个端点属于该集合

\([0,1]\)是一个点覆盖
边覆盖:一个边集,使得每个顶点都被至少一条边触及

\([\{0-1\} ,\{2-1\}]\)是一个边覆盖
团:(无向图)顶点之间完全相连的子图
竞赛图:(有向图)对于任意两个不同的顶点,恰好存在一条有向边
【性质】
(1)\(n\)个顶点的竞赛图有 \(\frac{n(n-1)}{2}\) 条有向边
(2)任意\(n≥1\)的竞赛图都存在哈密顿路径(经过所有顶点恰好一次的有向路径)
(3)图中存在King:可以击败其他所有点

浙公网安备 33010602011771号