【博弈论】理论基础
【博弈论】理论基础
概念

初始状态很重要!一般都是针对初始状态进行讨论
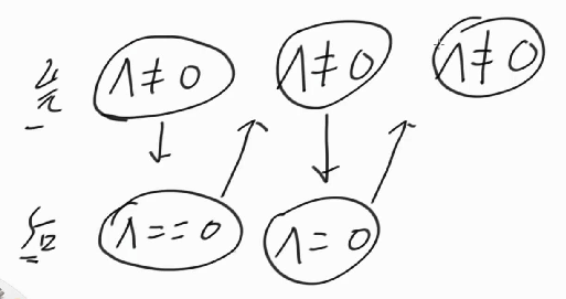
必胜态
必败态
巴什博弈(Bash Game)
就是取石子
模型

结论
若n%(m+1)!=0 先手赢
若n%(m+1)==0 后手赢
分析
(1)若n%(m+1)!=0
先手可以拿到剩下(m+1)整数倍的石子留给后手
后手无论如何没办法拿完(只能拿1-m个)
->留给后手永远没办法拿完->后手必败态->先手必胜态
(2)若n%(m+1)==0
先手无论如何拿不完->先手必败态
例题
质数次方版取石子
https://www.luogu.com.cn/problem/P4018
结论
若n%6!=0 先手赢
若n%6==0 后手赢
分析
打表可以取的石子
1 可以
2 可以
3 可以
4 可以
5 可以
6=2*3 题目只能构造1个质数作为因数->不行
->既然6不能被取 那么如果想赢 最后留给对面的一定要是6的倍数->这样对面无论如何也取不完->我就可以取完
->若n%6!=0 先手可以给后手构造出n%6==0
->若n%6==0 先手最后都会面对 因为后手也知道要给先手构造n%6==0
Nim博弈
模型

https://www.luogu.com.cn/problem/P2197
结论
必胜态:所有数字异或起来不为0
必败态:所有数字异或起来为0
分析

(1)在拿到所有数字异或完为0时,无论取几个,都无法改变异或完不为0的状态

只要取小,就一定会改变一个数每个位上0和1的状态->奇偶一定会变->异或结果一定会变
(2)在拿到所有数字异或完不为0时,都一定可以通过拿取,变为异或完为0的状态

所有数异或完的结果 最高位的1对应过去 哪一个数字的该位上是1 拿这一堆就可以 一定可以通过变小达成结果
例题
反Nim博弈(反常游戏)
https://www.luogu.com.cn/problem/P4279

结论
(1)若初始即为1 1 1 1 1 ...型:按奇偶
若n%2==0 先手赢
若n%2!=0 后手赢
(2)若初始为随机:可构造为x>1 1 1 1 1 ...的形式进行操纵->此时为必胜态
->看谁能拿到x>1 1 1 1 1 ...
->观察到x>1 1 1 1 1 ...异或结果一定!=0
->若异或结果不为0 先手赢
若异或结果为0 后手赢
※※看谁先拿到必胜态
代码
int n;
void solve(){
cin>>n;
vector<int> a(n+1,0);
for(int i=1;i<=n;i++) cin>>a[i];
int cnt=0;
int huo=a[1];
if(a[1]==1) cnt++;
for(int i=2;i<=n;i++){
if(a[i]==1) cnt++;
huo=huo^a[i];
}
if(cnt==n){
if(n%2){
cout<<"Brother"<<endl;
}
else{
cout<<"John"<<endl;
}
}
else{
if(huo==0){
cout<<"Brother"<<endl;
}
else{
cout<<"John"<<endl;
}
}
}

浙公网安备 33010602011771号