[CS231n]SVM and Softmax
[CS231n]SVM and Softmax
回顾
上一讲是\(KNN\)算法,是惰性算法,他不需要显示的构建模型,抽取特征,他只是在构建的时候需要找到那个就去找到跟他最近邻的数据,基本不需要训练,但是预测的时候是很慢的。\(Train~O(1),Predict~O(n)\) 随着样本增加,其复杂度是线性增加的,但是随着维度的增加,其样本数是呈指数爆炸增长的,\(KNN\)算法的性能是比较差的。在训练集较少的情况下可以使用交叉验证方法来选取\(K\),来尽可能减少偶然误差,评估模型的性能。
SVM
损失函数:说明了目前这个分类器的工作情况
我们设有 \(x_i~s~image~and~y_i~s(integer)~label\) 则有
这里\(f(x_i,W),y_i\) 就是把分数和每一个具体的标签进行比较,然后对所有的损失函数值取平均值。
Hinge loss

Eg:
这里对于猫的计算是\(max(0,5.1-3.2+1)+max(0,-1.7-3.2+1)=2.9\)
这里并没有对自生做这个计算,( 实际上,就算对自生做这个处理,也只是,对每一项的 loss加上了 1,并不会影响最终的结果,因为我们在这里看的是二者相对的值。)铰链损失函数会惩罚分数差1以上的项目,对于其他不进行惩罚。
Q1:如果汽车的分值发生了一点的变化?
并不会改变,因为1这个值的存在。
实际上1这个值是有讲究的,我们并不关心这个值的绝对的大小,而是相对的大小,1其实是单位1的意思。
Q2:最小、最大值是多少?
0-正无穷
Q3:在一开始\(W\)很小所以\(s->0\)那么\(loss\)值是多少?
应该是分类错误的类别的个数
Q4:在计算的时候加上了计算正确的类别? 同上正文所讲
Q5:如果平均而不是求和? 只是改了一个常数无影响
Q6:使用了平方损失函数? 惩罚项被放大了
def L_i_vectorized(x, y, w):
scores = W.dot(x)
margins = sp.maximum(0, scores - scores[y] + 1)
margins[y] = 0 # 这里是因为在上一步其把自身也减去了
loss_i = np.sum(margins)
return loss_i
如果\(loss=0\):
同一个损失函数可以对应于很多个不同的\(W\),这里引入正则化,防止过拟合。
正则化让模型更加简单(drop out,batch normalization……),让其在测试集上可以更好的泛化。显然下图\(f_2\)更加好
Softmax Classifier
先用指数函数的形式变成正数,接下来归一化处理
softmax把分数变成了概率,softmax不需要权重,本质进行了数学的运算。
然后再构造交叉熵损失函数,表示混乱程度,或者叫对数似然损失函数(details in CS229)
$$
L_i=-logP(Y=k|X=x_i)
$$
想要得到全部分类正确的概率就是把三个分类正确的概率乘起来,那么实际上就是在把各自的log加起来,这样做把一个非常小的概率转换成了一个比较好的值,我们希望对数的值最大化。
那么这个\(Loss\)表示为:

作业难点
def svm_loss_naive(W, X, y, reg):
"""
Structured SVM loss function, naive implementation (with loops).
Inputs have dimension D, there are C classes, and we operate on minibatches
of N examples.
Inputs:
- W: A numpy array of shape (D, C) containing weights.
- X: A numpy array of shape (N, D) containing a minibatch of data.
- y: A numpy array of shape (N,) containing training labels; y[i] = c means
that X[i] has label c, where 0 <= c < C.
- reg: (float) regularization strength
Returns a tuple of:
- loss as single float
- gradient with respect to weights W; an array of same shape as W
"""
dW = np.zeros(W.shape) # initialize the gradient as zero
# compute the loss and the gradient
num_classes = W.shape[1] # 这里shape[1]=10 shape[0]=3073 ,3073=32*32*3+1
num_train = X.shape[0] # 这里shape[0]=500 shape[1]=3073 相乘得到500*10
loss = 0.0
for i in range(num_train): # 每次循环算一张图片
scores = X[i].dot(W)
correct_class_score = scores[y[i]] # 这里y是单行的,即取出当前标签对应的值
for j in range(num_classes):
if j == y[i]: # 这里的目的是不对自身相减
continue # 比对每一个类别的偏差
margin = scores[j] - correct_class_score + 1 # note delta = 1
if margin > 0:
loss += margin #dW.shape ->(3073,10)
dW[:, j] += X[i].T # changed,这里是求梯度
# 取第j列的元素以行形式返回
dW[:, y[i]] -= X[i].T # changed
# Right now the loss is a sum over all training examples, but we want it
# to be an average instead so we divide by num_train.
loss /= num_train
dW /= num_train
# Add regularization to the loss.
loss += reg * np.sum(W * W)
dW += 2 * reg * W
#############################################################################
# TODO: #
# Compute the gradient of the loss function and store it dW. #
# Rather than first computing the loss and then computing the derivative, #
# it may be simpler to compute the derivative at the same time that the #
# loss is being computed. As a result you may need to modify some of the #
# code above to compute the gradient. #
#############################################################################
# *****START OF YOUR CODE (DO NOT DELETE/MODIFY THIS LINE)*****
"""check the code above"""
# *****END OF YOUR CODE (DO NOT DELETE/MODIFY THIS LINE)*****
return loss, dW
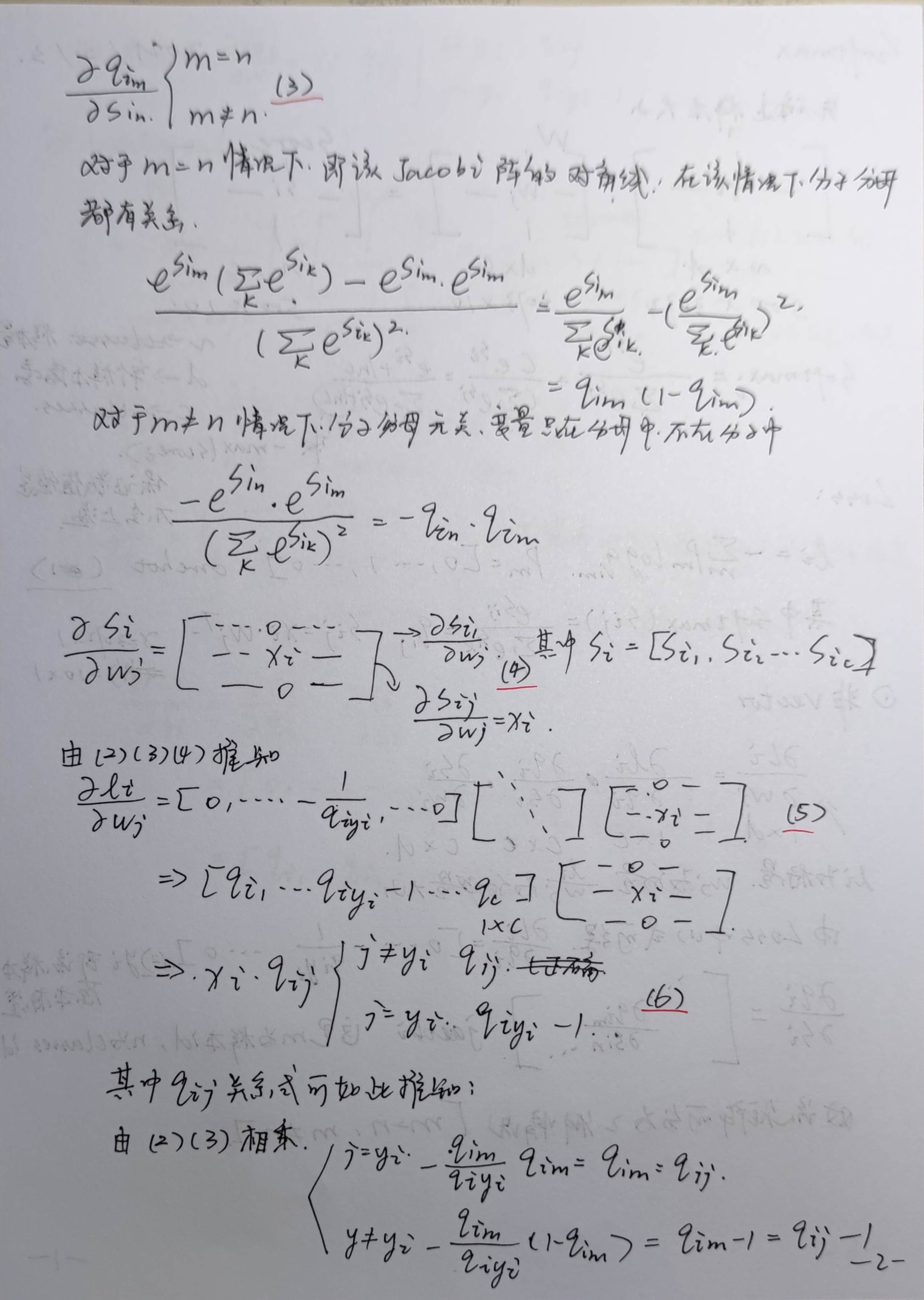
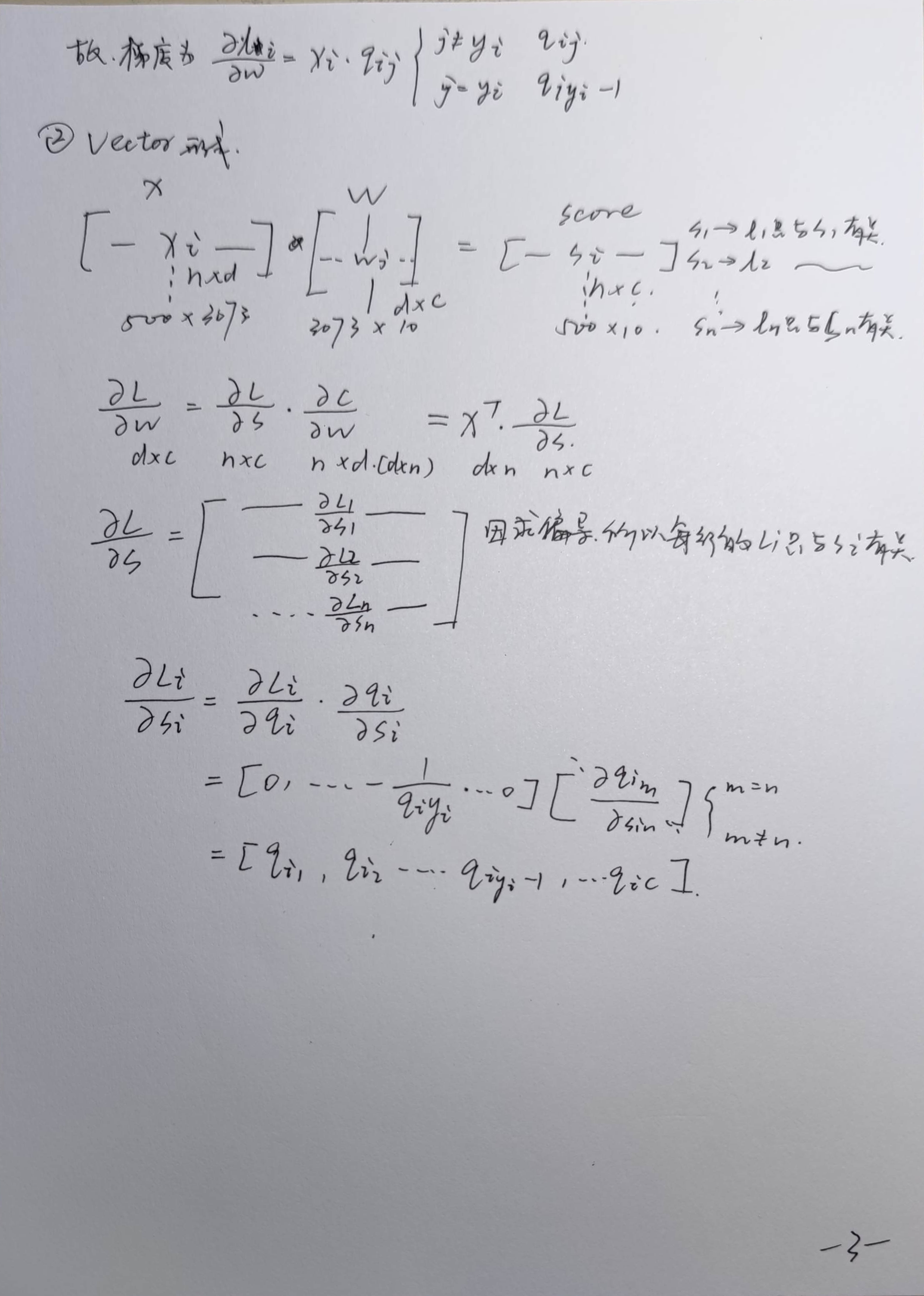
上面的求导是这样的:

向量化的版本
d_score = (scores.T - correct_class_scores).T + 1
d_score[d_score < 0] = 0 # max求导后的结果,下同
d_score[d_score > 0] = 1
d_score[np.arange(scores.shape[0]), y] = 0 # 清空原本就是同一类的值
d_score[np.arange(scores.shape[0]), y] = -np.sum(d_score, axis=1) # max在这里求导是-1
dW = X.T @ d_score
dW = dW / X.shape[0] + 2 * reg * W # 求导后是两倍的
这里的减去x[i].T与-np.sum(d_score, axis=1)都是因为\(i=Y_i\) 情况下是score>0的,那么max求导后是-1




浙公网安备 33010602011771号