509. 斐波那契数
斐波那契数,通常用 F(n) 表示,形成的序列称为 斐波那契数列 。该数列由 0 和 1 开始,后面的每一项数字都是前面两项数字的和。也就是:
F(0) = 0,F(1) = 1
F(n) = F(n - 1) + F(n - 2),其中 n > 1
给你 n ,请计算 F(n) 。
来源:力扣(LeetCode)
链接:https://leetcode-cn.com/problems/fibonacci-number
著作权归领扣网络所有。商业转载请联系官方授权,非商业转载请注明出处。
快速幂
import java.util.Scanner;
class Solution {
// f(3), f(2) = f(2), f(1) (1, 1)
// (1, 0)
// f(4), f(3) = f(3), f(2) (1, 1)
// (1, 0)
private int[][] multiply(int[][] a, int[][] b) {
int[][] ret = new int[a.length][b[0].length];
for (int i = 0; i < a.length; ++i) {
for (int j = 0; j < b[0].length; ++j) {
for (int k = 0; k < a[0].length; ++k) {
ret[i][j] += a[i][k] * b[k][j];
}
}
}
return ret;
}
public int fib(int n) {
int[][] base = {
{1, 1},
{1, 0}
};
int[][] ret = {
{1, 0}
};
while (n > 0) {
if ((n & 1) == 1) {
ret = multiply(ret, base);
}
n >>= 1;
base = multiply(base, base);
}
return ret[0][1];
}
public static void main(String[] args) {
Scanner in = new Scanner(System.in);
while (in.hasNext()) {
System.out.println(new Solution().fib(in.nextInt()));
}
}
}
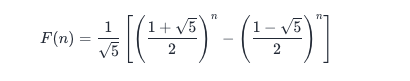
公式

class Solution {
public int fib(int n) {
double sqrt5 = Math.sqrt(5);
double fibN = Math.pow((1 + sqrt5) / 2, n) - Math.pow((1 - sqrt5) / 2, n);
return (int) Math.round(fibN / sqrt5);
}
}
心之所向,素履以往 生如逆旅,一苇以航

浙公网安备 33010602011771号