【Tai_mount】 算法学习 - 数据结构 - 线段树
https://www.luogu.com.cn/problem/P3372
问题背景:
对于一个长度为n的序列,将要进行维护,本问题中有两种操作:
- 查询:对序列中l-r区间内的数求和
- 修改:对l-r区间内所有数都加k
以下先举两种数据结构:
- 直接存储在长度为n的一维数组a[n]中,查询即循环求a[l]至a[r]之和
- 储存s[n]=为从第1到第n个数的和 前缀和
对于两种操作的时间复杂度:
- 直接存数
- 查询:O(n)
- 修改:O(n)
- 前缀和
- 查询:O(1)
- 修改:O(n)
那么,就需要一种更快捷的方式了!
线段树
原理:
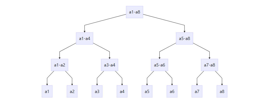
将这个序列二分,如:以a1-a8举例

这样就构成了一个二叉树
每个节点都存储了所对应序列之和
这样,无论是查询还是修改,都可以分给两个子函数,递归运算
建树:
每个节点有四个信息(以上图节点5:a3-a4)举例:
- 序列左界
int l=3(c) - 序列右界
int r=4 - 和
long long sum=a[3]+a[4] - 未向下传递的修改
long long tag=0
tag这个信息下面再说
其他的四个信息应该都没有问题,建个结构体就行
struct node{
int l;
int r;
long long sum;
long long tag;
};
在这里定义的结构体数组名字是seg node seg[N<<2];
注意此处一定要定义4倍的N,长度为n的序列最多会有4倍的节点数量
2的n次方会有2的n+1次方的节点个数
2的n+1次方会有n+2次方的节点个数
2的n+1次方和2的n次方之间的数,必须取到4倍
建树方法一:
直接利用“修改”的函数,时间复杂度为O(nlogn)
建树方法二:
程序前的定义:
#define ls (rt<<1)
#define rs (ls|1)
#define mid ((l+r)>>1)
rt为父节点的编号
rs为右边子节点的编号
ls为左边子节点的编号
mid为中间的分割点
void build(int rt,int l,int r){
seg[rt].l=l; seg[rt].r=r; seg[rt].tag=0;//赋值l,r,tag(tage初值为0)
if(l==r) {seg[rt].sum=a[l]; return;}//如果是叶节点就直接赋值数组里的数
build(ls,l,mid); build(rs,mid+1,r);//递归
seg[rt].sum=seg[ls].sum+seg[rs].sum;//已递归完毕直接求sum值
return;
}
build(rt,l,r) 意味:创建一个编号为rt,包含了al-ar之和的子节点
建树方法为:首先创建一个父节点,其编号为1,l为整个序列的左界,r为整个序列的右界
而父节点的sum值运用递归,相加其两个子节点获得
直到叶节点的sum值就直接获取数列中这个数
子节点的左右界都可以由父节点求得,详见程序前的定义部分
查询:
先上程序:
long long query(int rt,int l,int r){
if(seg[rt].r<l||seg[rt].l>r) return 0;//当节点所在区间与所求区间没有交集,直接返回0
if(seg[rt].r<=r&&seg[rt].l>=l) return seg[rt].sum;//当节点所在区间被所求区间包含,返回这个节点的sum值
pushdown(rt);//把“tag”的修改值下降到子节点
return query(ls,l,r)+query(rs,l,r); //上两种条件都不满足,即该节点与所求区间有交集,但不被包含,分成左右子节点两部分递归
}
分三种情况,都已经写在程序里了
查询在rt子节点中的属于l-r(被查询区间的)sum值
修改:
程序:
void update(int rt,int l,int r,long long change){
if(seg[rt].r<l||seg[rt].l>r) return;//如果没有交集,直接过
if(seg[rt].r<=r&&seg[rt].l>=l){
seg[rt].tag+=change;//未被传下去的tag
seg[rt].sum+=(seg[rt].r-seg[rt].l+1)*change;//总和加上区间内数的数量乘k
return;
}
pushdown(rt);//把tag传下去
update(ls,l,r,change); update(rs,l,r,change);//递归传给子节点去更新
seg[rt].sum=seg[rs].sum+seg[ls].sum; //更新过子节点后自己也要更新
return;
}
对rt区间与l-r区间内数+k
修改的实现与查询有许多不同
如果这一整段都在被修改的区间中,不会对这个节点的子节点同时修改,而是会拦截下来,记入到tag中,每次访问到这个节点,包括加上tag的这一次,再往下传递一层。这样可以省去不必要的传递。
对于传递这一点,会有另外的 pushdown函数
void pushdown(int rt){
seg[ls].tag+=seg[rt].tag; //左子节点加上tag
seg[rs].tag+=seg[rt].tag; //右子节点加上tag
seg[ls].sum+=(seg[ls].r-seg[ls].l+1)*seg[rt].tag; //左子节点sum加上
seg[rs].sum+=(seg[rs].r-seg[rs].l+1)*seg[rt].tag; //右子节点sum加上
seg[rt].tag=0; //把 tag清零
return;
}
pushdown函数要定义在query和update之前,因为其在后两个函数中有调用

浙公网安备 33010602011771号