16 - Metatheory of subtyping
Subtyping 提到的规则并不适合实现,原因在于 T-SUB 和 S-Trans 规则推导中的项 \(t\) 没有任何约束的元变量(没有对形状作出限制)。

这意味着对于任意一个项 \(t\),无法确定在什么时机使用什么规则做类型推导。

S-Trans 的另一个问题是,\(U\) 的搜索空间近乎无穷大。解决所有这些问题的方法是:用两种新的关系,算法子类型关系 algorithmic subtyping 和算法类型关系 algorithmic typing,来替换普通的子类型和类型关系。然后证明这种替换是正确的。
类型检查器 type checker 会调用子类型检查器 subtype checker 判断 \((S, T)\) 是否满足 \(\mapsto S <: T\),即 \(S\) 和 \(T\) 是否满足算法子类型关系。算法子类型关系中省略了 S-Trans 和 S-Refl 规则。
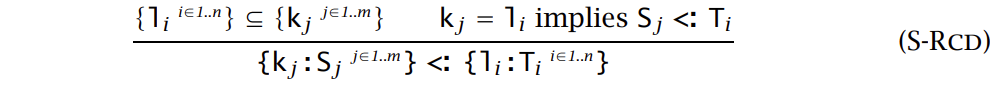
关于 record 的 width,depth 和 permutation 规则被合并成一个规则 S-RCD:


引理:证明 S-RCD 和原先的三个规则是等价的

引理:证明 S-REFL 和 S-TRANS 在只包含函数类型和 record 类型的子类型系统中是不必要的

证明 1 :
对 S 的类型进行归纳:
-
Top:通过 S-Top 自然成立
-
函数类型:通过 S-ARROW 规则对 \(T_1\) 和 \(T_2\) 做归纳
-
record:通过 S-RCD 自然成立
证明 2:
对推导过程进行归纳,考虑最后一条被应用的规则:
-
不是 S-TRANS:对剩余的规则继续归纳
-
是 S-TRANS:那么存在 \(S <: U\) 和 \(U <: T\) 两个子推导,同时讨论这两个子推导的最后一条规则:
-
任意一个规则 + S-Top 或者 S-Top + 任意一个规则可以直接替换成 S-Top
-
S-Arrow + S-Arrow:参考 https://roife.github.io/posts/tapl-16/

其余的情况类似。


算法子类型规则和原先的子类型规则是等价的。

通过上面的算法子类型规则,可以构造出一个子类型检查算法:

这个算法是可判定的。

前面一半可以从“算法子类型规则和原先的子类型规则是等价的”验证;至于后面一半,可以从算法中观察到,函数的参数规模在逐渐减小,因此不可能存在无限调用序列。
上面的工作消除了 S-REFL 和 S-TRANS,类型关系中 T-SUB 的处理也很麻烦,也需要以同样的方式把类型关系变成语法驱动的。和消除 S-TRANS 的思路类似,在消除 S-TRANS 规则的时候,我们把 S-TRANS 在推导树的位置往上提升,直到基类型 base types。T-SUB 的位置可以在推导树上下推,比如:
- T-SUB + T-ABS:


- T-SUB + T-APP:
T-SUB 出现在左部子推导:

根据上面的算法子类型关系,\(S_{11} \rightarrow S_{12} <: T_{11} \rightarrow T_{12}\) 的上一条推导规则不会是 S-REFL 或者 S_TRANS,只能是 S-ARROW:

改写得到:

T-SUB 出现在右部子推导:


- T-SUB + T-SUB:

可以把任意的类型推导重写为:T-SUB 出现在 T-APP 的右子推导的末尾,或者在整个推导的末尾。如果简单删除整个推导末尾的 T-SUB 并不会有什么影响,反而使得项 \(t\) 得到了一个最小的类型,这样就只剩下 T-APP 处的 T-SUB 了,那么可以用一个新的函数应用的项上的类型规则取代 T-SUB:


同样地,算法类型关系是 sound 和 complete 的。
对于具有多个结果分支的表达式需要有一些额外的机制,比如对于算术表达式 if:

因为要求这个 if 表达式具有一致的类型,因为要求两个分支的最小公共超类型,即 \(\{x: Bool\}\),这称为两个类型的 join:



引入 Bot 类型需要对算法类型关系做一点扩展:



浙公网安备 33010602011771号