数据结构期末复习知识点总结(二)——树,图(未完结)
数据结构期末知识点总结
一. 树与二叉树

树和二叉树相关概念
基本知识概念
- 树:n个结点的有限集合(n>=0)n为0时为空树。树中有一个根结点,它没有直接前驱,有零个或多个直接后继,根结点之外的n-1个结点可以划分成m个互不相交的有限集,这些有限集称为根的子树(子树互不相交)。

- 二叉树:有限的结点的集合,由根结点和不相交的二叉子树组成
和二叉树的联系与区别
满足以下两个条件的树形结构叫做二叉树:
每个结点至多只有两棵子树
二叉树的子树有左右之分,其次序不能颠倒。树可以有序可以无序
因此树和二叉树结构不等价
【孩子与双亲:结点若有直接后继,则可称它为它直接后继结点的父亲或双亲,直接后继结点为它的孩子,位于左边的孩子叫做左孩子,位于右边的孩子叫做右孩子】
树的基本术语
- 结点的度:子结点或非空子树的个数
- 树的度:树中所有结点的度的最大值
- 叶结点:树中度为0的结点
- 中间结点:树中叶结点以外的结点,亦称内部结点
- 兄弟结点:父结点相同的结点彼此是兄弟结点
- 结点的层次:根结点在第1层;如果结点的层次是𝑘 (𝑘≥1) ,则其子结点都在第𝑘+1层。亦称结点的深度
- 结点的高度:叶结点的高度等于1;中间结点的高度等于其所有子结点的高度的最大值加1
- 树的高度:根结点的高度,亦称树的深度
- 有序树:树中各结点的子树从左向右依次排列,不能交换次序;否则称作无序树
- 森林:零个或多个互不相交(独立)的树的集合
- 祖先结点:根没有祖先;父结点以及父结点的祖先都是结点的祖先结点
- 子孙结点:叶结点没有子孙;中间结点的各子结点以及子结点的子孙都是它的子孙结点
树的基本操作
InitTree(tree):初始化一个空树tree
CreatTree(tree,definition):按照definition构造一个树
IsEmpty(tree):树tree为空返回true,否则返回false
Root(tree):返回树tree的根结点
Get(tree, node):返回树tree的结点node的值
Parent(tree,node):返回树tree中结点node的父结点
GetChild(tree,node,k):返回树tree中结点node的第k个子树
InsertChild(tree,node,k,subtree):将树subtree插入到树tree中,使其成为结点node的第k个子树
Search(tree,x):在树tree中查找值为x的结点,如果查找成功,返回结点,否则返回NIL
Traverse(tree):访问树tree中每个结点,且每个结点只访问一次
二叉树的基本操作
BinaryTreeNodeO:创建一个二叉树结点
CreatBinaryTree(value,left_tree,right_tree):构造二叉树,根结点的数据为value,
左子树和右子树分别是left_tree和right_tree
IsLeaf(tree,node):如果二叉树tree中结点node为叶结点,返回true;否则返回false
Height(tree):返回二叉树tree的高度(深度)
PreOrder(tree):前序遍历二叉树tree
InOrder(tree):中序遍历二叉树tree
PostOrder(tree):后序遍历二叉树tree
LevelOrder(tree):层序遍历二叉树tree
满二叉树与完全二叉树
- 满二叉树:每层结点均满,每层均具有最大结点数,又称完美二叉树
- 完全二叉树:与满二叉树的编号对应,但不要求每层均具有最大结点数
区别于联系:满二叉树一定是完全二叉树,完全二叉树不一定是满二叉树
- 树的基本性质:
树中所有结点数等于所有结点的度数之和加1
- 二叉树的基本性质
性质1:二叉树第i层上至多有
个节点
性质2:深度为k的二叉树最多有
个结点
性质3:任何一颗二叉树,若其叶子节点数为n0,度为2的节点数为n2,则n0=n2+1
性质4:具有n个节点的完全二叉树的深度为
(向下取整)
- 特殊二叉树
满二叉树:深度为k且含有
个结点的二叉树,对于编号为i的结点,若存在左孩子,则左孩子编号为2i,右孩子为2i+1
完全二叉树:满二叉树的子图(没有左子树不能有右子树,上一层没有铺满不能有下一层)
二叉树的主要存储方式:顺序存储 + 链接存储
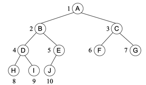
完全二叉树的顺序存储:完全二叉树所有结点可以分层从左向右连续编号,可用一组地址连续的存储单元(顺序表)存储二叉树的各个结点


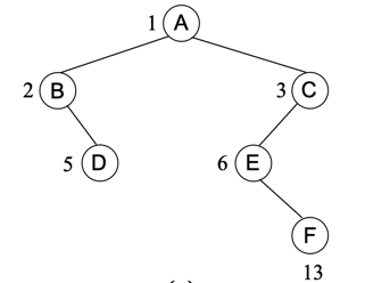
非完全二叉树的顺序存储结点编号:树根的索引为1;设结点的编号为𝑘 (𝑘≥1),如果其左子树非空,则左子结点的编号为2𝑘;如果右子树非空,则右子结点为2𝑘+1顺序存放:用一组地址连续的存储单元存储二叉树的各个结点


二叉树的创建以及遍历(先序,中序,后序以及先序非递归)
二叉树的链式结构
typedef struct TreeNode{
char data;
TreeNode* lchild;
TreeNode* rchild;
}TreeNode;
typedef TreeNode *BiTree;
二叉树的创建
void createTree(BiTree* T) { // 参数:指向二叉树节点指针的指针
char ch;
scanf("%c", &ch); // 读取用户输入的字符
if(ch == '#') { // 如果输入'#'表示空节点
*T = NULL; // 将当前节点指针设为NULL
}
else {
// 动态分配新节点内存
*T = (BiTree)malloc(sizeof(TreeNode));
(*T)->data = ch; // 将输入字符存入节点
// 递归创建左子树(注意:&((*T)->lchild)是取左孩子指针的地址)
createTree(&((*T)->lchild));
// 递归创建右子树
createTree(&((*T)->rchild));
}
}
前序遍历
void preOrder(BiTree T){
if(T==NULL){
return;
}
printf("%c",T->data);
preOrder(T->lchild);
preOrder(T->rchild);
}
中序遍历
void inOrder(BiTree T){
if(T==NULL){
return;
}
inOrder(T->lchild);
printf("%c",T->data);
inOrder(T->rchild);
}
后序遍历
void postOrder(BiTree T){
if(T==NULL){
return;
}
postOrder(T->lchild);
postOrder(T->rchild);
printf("%c",T->data);
}
先根序非递归
void preorderTraversal2(BiTree root) {
if (root == NULL) return;
Stack stk;
initStack(&stk);
push(&stk, root);
while (!isEmpty(&stk)) {
BiTree node = pop(&stk);
printf("%c ", node->data);
if (node->rchild != NULL) push(&stk, node->rchild);
if (node->lchild != NULL) push(&stk, node->lchild);
}
}
二叉树遍历性质:
已知前序遍历和中序遍历,可以唯一确定一棵二叉树
已知中序遍历和后序遍历,可以唯一确定一棵二叉树
已知前序遍历和后序遍历,不能唯一确定一棵二叉树
作者:
阿Huᰔᩚangᐝ
本文版权归作者和博客园共有,欢迎转载,但未经作者同意必须在文章页面给出原文连接,否则保留追究法律责任的权利。
浙公网安备 33010602011771号