第六次作业:二叉树
| 这个作业属于哪个课程 | 数据结构 |
|---|---|
| 这个作业要求在哪里 | https://edu.cnblogs.com/campus/qdu/DS2020/homework/11430 |
| 这个作业的目标 | 掌握二叉树的基本特性、二叉树的先序、中序、后序的递归遍历算法、理解二叉树的先序、中序、后序的非递归遍历算法、通过求二叉树的深度、叶子结点数和层序遍历等算法,理解二叉树的基本特性 |
| 学号 | 2018204150 |
实验三 二叉树
一、实验目的
1、掌握二叉树的基本特性
2、掌握二叉树的先序、中序、后序的递归遍历算法
3、理解二叉树的先序、中序、后序的非递归遍历算法
4、通过求二叉树的深度、叶子结点数和层序遍历等算法,理解二叉树的基本特性
二、实验预习
说明以下概念
1、二叉树:二叉树是树形结构的一个重要类型。许多实际问题抽象出来的数据结构往往是二叉树形式,即使是一般的树也能简单地转换为二叉树,而且二叉树的存储结构及其算法都较为简单,因此二叉树显得特别重要。二叉树特点是每个结点最多只能有两棵子树,且有左右之分。二叉树是n个有限元素的集合,该集合或者为空、或者由一个称为根的元素及两个不相交的、被分别称为左子树和右子树的二叉树组成,是有序树。当集合为空时,称该二叉树为空二叉树。在二叉树中,一个元素也称作一个结点。
2、递归遍历:由于二叉树所具有的递归性质,一棵非空的二叉树可以看作是由根节点、左子树和右子树3部分构成,因为若能依次遍历这3部分的信息,也就遍历了整个二叉树。按照左子树的遍历在右子树的遍历之前进行的约定,根访问根节点位置的不同,可以得到二叉的前序、中序、后序3种遍历方法。
3、非递归遍历:树的遍历若采用非递归的方法,就要采用栈去模拟实现。
4、层序遍历:对某一层的结点访问完后,再按照它们的访问次序对各个结点的左孩子和右孩子顺序访问,这样一层一层进行,先访问的结点其左右孩子也要先访问,这正好符合队列的操作特性。
三、实验内容和要求
1、阅读并运行下面程序,根据输入写出运行结果,并画出二叉树的形态。
#include<stdio.h>
#include<malloc.h>
#include<iostream>
#include<conio.h>
#define MAX 20
typedef struct BTNode{ /*节点结构声明*/
char data ; /*节点数据*/
struct BTNode *lchild;
struct BTNode *rchild ; /*指针*/
}*BiTree;
void createBiTree(BiTree *t){ /* 先序遍历创建二叉树*/
char s;
BiTree q;
printf("\nplease input data:(exit for #)");
s=getche();
if(s=='#'){*t=NULL; return;}
q=(BiTree)malloc(sizeof(struct BTNode));
if(q==NULL){printf("Memory alloc failure!"); exit(0);}
q->data=s;
*t=q;
createBiTree(&q->lchild); /*递归建立左子树*/
createBiTree(&q->rchild); /*递归建立右子树*/
}
void PreOrder(BiTree p){ /* 先序遍历二叉树*/
if ( p!= NULL ) {
printf("%c", p->data);
PreOrder( p->lchild ) ;
PreOrder( p->rchild) ;
}
}
void InOrder(BiTree p){ /* 中序遍历二叉树*/
if( p!= NULL ) {
InOrder( p->lchild ) ;
printf("%c", p->data);
InOrder( p->rchild) ;
}
}
void PostOrder(BiTree p){ /* 后序遍历二叉树*/
if ( p!= NULL ) {
PostOrder( p->lchild ) ;
PostOrder( p->rchild) ;
printf("%c", p->data);
}
}
void Preorder_n(BiTree p){ /*先序遍历的非递归算法*/
BiTree stack[MAX],q;
int top=0,i;
for(i=0;i<MAX;i++) stack[i]=NULL;/*初始化栈*/
q=p;
while(q!=NULL){
printf("%c",q->data);
if(q->rchild!=NULL) stack[top++]=q->rchild;
if(q->lchild!=NULL) q=q->lchild;
else
if(top>0) q=stack[--top];
else q=NULL;
}
}
void release(BiTree t){ /*释放二叉树空间*/
if(t!=NULL){
release(t->lchild);
release(t->rchild);
free(t);
}
}
int main(){
BiTree t=NULL;
createBiTree(&t);
printf("\n\nPreOrder the tree is:");
PreOrder(t);
printf("\n\nInOrder the tree is:");
InOrder(t);
printf("\n\nPostOrder the tree is:");
PostOrder(t);
printf("\n\n先序遍历序列(非递归):");
Preorder_n(t);
release(t);
return 0;
}
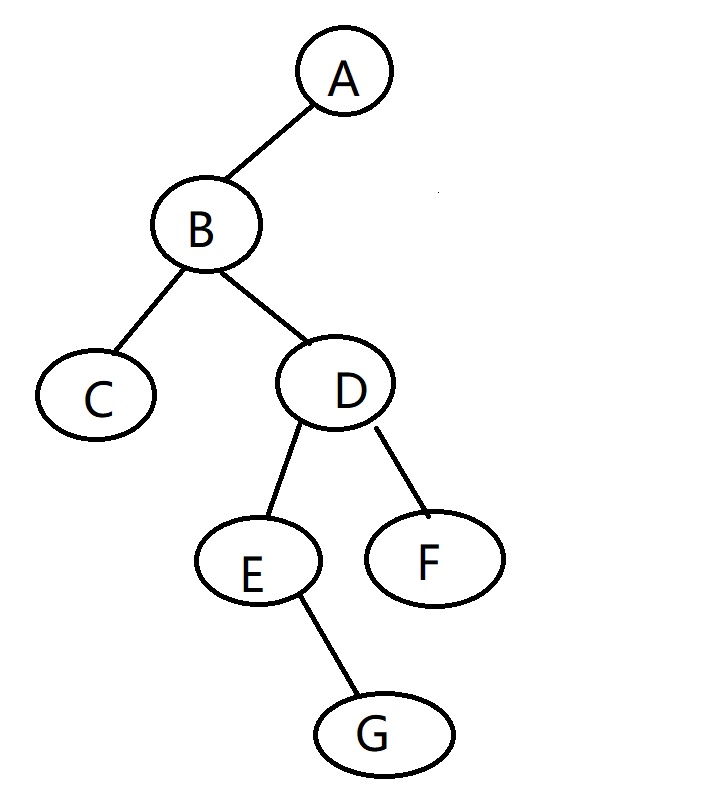
运行程序
输入:
ABC##DE#G##F###
运行结果:

二叉树的形态:

2、在上题中补充求二叉树中求结点总数算法(提示:可在某种遍历过程中统计遍历的结点数),并在主函数中补充相应的调用验证正确性。
算法代码:
int PreOrder_num(BiTree p){
int j=0;
BiTree stack[MAX],q;
int top=0,i;
for(i=0;i<MAX;i++) stack[i]=NULL;
q=p;
while(q!=NULL){
j++;
if(q->rchild!=NULL) stack[top++]=q->rchild;
if(q->lchild!=NULL) q=q->lchild;
else
if(top>0) q=stack[--top];
else q=NULL;
}
return j;
}
3、在上题中补充求二叉树中求叶子结点总数算法(提示:可在某种遍历过程中统计遍历的叶子结点数),并在主函数中补充相应的调用验证正确性。
算法代码:
int LeafNodes(BiTree p){
int num1,num2;
if(p==NULL)
return 0;
else if(p->lchild==NULL&&p->rchild==NULL)
return 1;
else
{
num1=LeafNodes(p->lchild);
num2=LeafNodes(p->rchild);
return (num1+num2);
}
}
4、在上题中补充求二叉树深度算法,并在主函数中补充相应的调用验证正确性。
算法代码:
int BTNodeDepth(BiTree p) {
int lchilddep,rchilddep;
if(p==NULL)
return 0;
else {
lchilddep=BTNodeDepth(p->lchild);
rchilddep=BTNodeDepth(p->rchild);
return(lchilddep>rchilddep)?(lchilddep+1):(rchilddep+1);
}
}
5、主程序补充代码(全部调用):
int main() {
BiTree t=NULL;
createBiTree(&t);
printf("\n\nPreOrder the tree is:");
PreOrder(t);
printf("\n\nInOrder the tree is:");
InOrder(t);
printf("\n\nPostOrder the tree is:");
PostOrder(t);
printf("\n\n先序遍历序列(非递归):");
Preorder_n(t);
printf("\n节点数为%d",PreOrder_num(t));
printf("\n子叶数为%d",LeafNodes(t));
printf("\n深度为%d",BTNodeDepth(t));
release(t);
return 0;
}
输出结果:

选做实验:
补充二叉树层次遍历算法(提示:利用队列实现):(摘自网络)
#include<stdio.h>
#include<stdlib.h>
typedef char EType;
struct BinaryTreeNode//定义节点
{
EType data;
struct BinaryTreeNode *LChild;
struct BinaryTreeNode *RChild;
};
typedef BinaryTreeNode BinaryTree;
typedef struct QType
{
BinaryTreeNode *ptr;
}QType;
typedef struct Queue
{
QType *element;//循环线性队列,0号空间不使用(为了区分队满与队空),注意这不是链式队列
int front;
int rear;
int MaxSize;
}Queue;
void CreatBiTree(BinaryTreeNode **BT);
bool IsEmpty(Queue &Q);
bool IsFull(Queue &Q);
bool GetFront(Queue &Q,QType &result);
bool EnQueue(Queue &Q,QType &x);
bool DeQueue(Queue &Q,QType &result);
void LevelOrder_LtoR_UtoD(BinaryTreeNode *BT);
void LevelOrder_RtoL_UtoD(BinaryTreeNode *BT);
int main()
{
BinaryTreeNode *BT = NULL;
CreatBiTree(&BT);
printf("从上至下,从左至右遍历二叉树输出为:");
LevelOrder_LtoR_UtoD(BT);
printf("\n");
printf("从上至下,从右至左遍历二叉树输出为:");
LevelOrder_RtoL_UtoD(BT);
printf("\n");
return 0;
}
void CreatQueue(Queue &Q,int MaxQueueSize)
{
Q.MaxSize = MaxQueueSize;
Q.element = new QType[Q.MaxSize+1];
Q.front = 0;
Q.rear = 0;
}
bool IsEmpty(Queue &Q)
{
if(Q.front == Q.rear)
return true;
return false;
}
bool IsFull(Queue &Q)
{
if(Q.front == (Q.rear+1)%(Q.MaxSize+1))
return true;
return false;
}
bool GetFront(Queue &Q,QType &result)
{
if(IsEmpty(Q))
return false;
result = Q.element[(Q.front+1)%(Q.MaxSize+1)];
return true;
}
bool EnQueue(Queue &Q,QType &x)//进队操作:rear向后移
{
if(IsFull(Q))
return false;
Q.rear = (Q.rear+1)%(Q.MaxSize+1);
Q.element[Q.rear] = x;
return true;
}
bool DeQueue(Queue &Q,QType &result)//出队操作:front向后移
{
if(IsEmpty(Q))
return false;
Q.front = (Q.front+1)%(Q.MaxSize+1);
result = Q.element[Q.front];
return true;
}
void CreatBiTree(BinaryTreeNode **BT)//以前序遍历方法输入节点的data,构造一棵二叉树
{
EType tem;
scanf("%c",&tem);
if(' ' == tem)
{
*BT = NULL;
}
else
{
*BT = new BinaryTreeNode;
(*BT)->data = tem;
CreatBiTree(&(*BT)->LChild);//递归
CreatBiTree(&(*BT)->RChild);
}
}
void LevelOrder_LtoR_UtoD(BinaryTreeNode *BT)
{
Queue Q;
QType temp;
BinaryTreeNode *p;
int MaxQueueSize = 50;
CreatQueue(Q,MaxQueueSize);
p = BT;
temp.ptr = p;
EnQueue(Q,temp);//先将根节点进队
while(p)//二叉树为空就直接结束
{
if(!DeQueue(Q,temp))//节点出队,当队空时,出队操作返回false,程序return
return;//这是这个循环的出口,如果一个二叉树不为空,最终都是在这里跳出循环
p = temp.ptr;
printf("%c\t",p->data);
if(p->LChild)//若该节点的左孩子存在,则将其进队
{
temp.ptr = p->LChild;
EnQueue(Q,temp);
}
if(p->RChild)//若该节点的右孩子存在,则将其进队
{
temp.ptr = p->RChild;
EnQueue(Q,temp);
}
}
}
void LevelOrder_RtoL_UtoD(BinaryTreeNode *BT)
{
Queue Q;
QType temp;
BinaryTreeNode *p;
int MaxQueueSize = 50;
CreatQueue(Q,MaxQueueSize);
p = BT;
temp.ptr = p;
EnQueue(Q,temp);
while(p)
{
if(!DeQueue(Q,temp))
return;
p = temp.ptr;
printf("%c\t",p->data);
if(p->RChild)
{
temp.ptr = p->RChild;
EnQueue(Q,temp);
}
if(p->LChild)
{
temp.ptr = p->LChild;
EnQueue(Q,temp);
}
}
}
补充二叉树中序、后序非递归算法:(摘自网络)
#include <iostream>
#include<string.h>
#include<stack>
#include<stdlib.h>
using namespace std;
typedef struct node
{
char data;
struct node *lchild,*rchild;
}BinTree;
typedef struct node1
{
BinTree *btnode;
bool isFirst;
}BTNode;
void creatBinTree(char *s,BinTree *&root) //创建二叉树,s为形如A(B,C(D,E))形式的字符串
{
int i;
bool isRight=false;
stack<BinTree*> s1; //存放结点
stack<char> s2; //存放分隔符
BinTree *p,*temp;
root->data=s[0];
root->lchild=NULL;
root->rchild=NULL;
s1.push(root);
i=1;
while(i<strlen(s))
{
if(s[i]=='(')
{
s2.push(s[i]);
isRight=false;
}
else if(s[i]==',')
{
isRight=true;
}
else if(s[i]==')')
{
s1.pop();
s2.pop();
}
else if(isalpha(s[i]))
{
p=(BinTree *)malloc(sizeof(BinTree));
p->data=s[i];
p->lchild=NULL;
p->rchild=NULL;
temp=s1.top();
if(isRight==true)
{
temp->rchild=p;
cout<<temp->data<<"的右孩子是"<<s[i]<<endl;
}
else
{
temp->lchild=p;
cout<<temp->data<<"的左孩子是"<<s[i]<<endl;
}
if(s[i+1]=='(')
s1.push(p);
}
i++;
}
}
void display(BinTree *root) //显示树形结构
{
if(root!=NULL)
{
cout<<root->data;
if(root->lchild!=NULL)
{
cout<<'(';
display(root->lchild);
}
if(root->rchild!=NULL)
{
cout<<',';
display(root->rchild);
cout<<')';
}
}
}
void preOrder1(BinTree *root) //递归前序遍历
{
if(root!=NULL)
{
cout<<root->data<<" ";
preOrder1(root->lchild);
preOrder1(root->rchild);
}
}
void inOrder1(BinTree *root) //递归中序遍历
{
if(root!=NULL)
{
inOrder1(root->lchild);
cout<<root->data<<" ";
inOrder1(root->rchild);
}
}
void postOrder1(BinTree *root) //递归后序遍历
{
if(root!=NULL)
{
postOrder1(root->lchild);
postOrder1(root->rchild);
cout<<root->data<<" ";
}
}
void preOrder2(BinTree *root) //非递归前序遍历
{
stack<BinTree*> s;
BinTree *p=root;
while(p!=NULL||!s.empty())
{
while(p!=NULL)
{
cout<<p->data<<" ";
s.push(p);
p=p->lchild;
}
if(!s.empty())
{
p=s.top();
s.pop();
p=p->rchild;
}
}
}
void inOrder2(BinTree *root) //非递归中序遍历
{
stack<BinTree*> s;
BinTree *p=root;
while(p!=NULL||!s.empty())
{
while(p!=NULL)
{
s.push(p);
p=p->lchild;
}
if(!s.empty())
{
p=s.top();
cout<<p->data<<" ";
s.pop();
p=p->rchild;
}
}
}
void postOrder2(BinTree *root) //非递归后序遍历
{
stack<BTNode*> s;
BinTree *p=root;
BTNode *temp;
while(p!=NULL||!s.empty())
{
while(p!=NULL) //沿左子树一直往下搜索,直至出现没有左子树的结点
{
BTNode *btn=(BTNode *)malloc(sizeof(BTNode));
btn->btnode=p;
btn->isFirst=true;
s.push(btn);
p=p->lchild;
}
if(!s.empty())
{
temp=s.top();
s.pop();
if(temp->isFirst==true) //表示是第一次出现在栈顶
{
temp->isFirst=false;
s.push(temp);
p=temp->btnode->rchild;
}
else //第二次出现在栈顶
{
cout<<temp->btnode->data<<" ";
p=NULL;
}
}
}
}
void postOrder3(BinTree *root) //非递归后序遍历
{
stack<BinTree*> s;
BinTree *cur; //当前结点
BinTree *pre=NULL; //前一次访问的结点
s.push(root);
while(!s.empty())
{
cur=s.top();
if((cur->lchild==NULL&&cur->rchild==NULL)||
(pre!=NULL&&(pre==cur->lchild||pre==cur->rchild)))
{
cout<<cur->data<<" "; //如果当前结点没有孩子结点或者孩子节点都已被访问过
s.pop();
pre=cur;
}
else
{
if(cur->rchild!=NULL)
s.push(cur->rchild);
if(cur->lchild!=NULL)
s.push(cur->lchild);
}
}
}
int main(int argc, char *argv[])
{
char s[100];
while(scanf("%s",s)==1)
{
BinTree *root=(BinTree *)malloc(sizeof(BinTree));
creatBinTree(s,root);
display(root);
cout<<endl;
preOrder2(root);
cout<<endl;
inOrder2(root);
cout<<endl;
postOrder2(root);
cout<<endl;
postOrder3(root);
cout<<endl;
}
return 0;
}
四、实验小结
通过本次实验对树以及二叉树的性质和算法有了初步的认识,但是部分更加深层次的东西仍有待掌握,继续加油!

浙公网安备 33010602011771号