解题报告
牛客网NOIP赛前集训营-提高组(第二场)
A 方差
题目大意:
一个长度为 m 的序列 b[1...m] ,我们定义它的方差为 ,其中
表示序列的平均值。
可以证明的是,如果序列元素均为整数,那么方差乘以 m^2 之后,得到的值一定是整数。
现在有一个长度为 N 的序列 a[1...N],对每个 i = 1~N,你需要计算,如果我们删除 a[i],剩下的 N-1 个元素的方差乘以 (N-1)^2 的值。
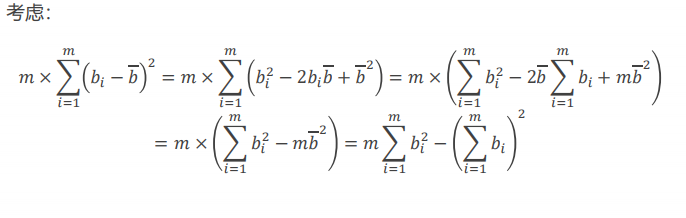
题解:将式子化简,对于方差,其实只求一个和的平方和平方的和
化简如下:

B 分糖果
题目大意:
N 个小朋友围成一圈,你有无穷个糖果,想把其中一些分给他们。
从某个小朋友开始,我们顺时针给他们标号为 1 ~ N。第 i 个小朋友可以得到至多 a[i],至少 1 个糖果。
问,有多少种分配方案使得每一对相邻的小朋友拿到的糖果数不同。答案对 10^9 + 7 取模。
部分分做法
分糖果 考虑 N 和 a[i] 均不是很大的情形,此时我们可以DP 把环从某个位置断开,记 𝑓 𝑖 𝑗 𝑘 表示考虑了前 i 个人,第 1 个人和第 i 个人分别了 j k 个糖果的方案数 暴力转移的复杂度是 Θ 𝑎𝑖 ,如果加一个简单的前缀和优化的话就能优化到 Θ 1
容斥的想法
分糖果 正难则反,我们考虑容斥 枚举哪些相邻的小朋友拿到的糖果数一样,整个环根据我们枚举的相等关系会被分成若干段 其中每段的糖果数一样,那么这一段的方案数必然为这段中的 𝑎𝑖 最小值 同时,假设我们枚举了 𝑘 个相等关系,它的容斥系数为 −1 𝑘 我们考虑 DP 它的贡献,设 𝑓𝑖 表示: 容斥到第 i 个元素,前面划分了若干段,所有不同的方案配上容斥系数的贡献之和
$𝑓𝑖 = \sum_𝑗 𝑓_𝑗 × min (𝑎 [𝑗 + 1 … 𝑖]) × −1 ^{𝑖−𝑗−1}$
C 集合划分
题目大意:
visit_world得到了 {1, 2, ... , n} 的 (2^n - 1) 个非空子集 他计划把这些集合分给小 S 和小 T,每个子集恰好给其中一个人。 分配规则是这样的: 1. 若存在两个集合属于同一个人,那么这两个集合的并也要属于那个人 2. 有 m 个集合是小 S 特别喜欢的,你要把这些集合全部给小 S 3. 小 S 拿到了恰好 k 个集合。 请给出一种方案,或者说明无解
对于部分分的做法:
M = 0 的做法
我们定义 lowbit(x) 为 x 的二进制下,最小的一个元素(换句话说,就是它对应集合里最小的元素) 我们用 x | y 表示 x 和 y 两个集合的并 断言:我们把所有 lowbit 相同的元素都分给同一个人,这样构造的方案一定是合法的 证明很容易,注意到 lowbit(x | y) 恰好是 lowbit(x) 和 lowbit(y) 之一,若 lowbit(x) 和 lowbit(y) 均属于 A,那么 lowbit(x | y) 也属于 A lowbit(x) = i 的元素恰好有 2^(N-i-1) 个,我们把 K 二进制拆分,构造答案即可
M > 0 的做法
把上述做法推广一下,我们给每个元素定义一个优先级,使得不同元素优先级不同 对一个集合,我们定义它的“特征”为它之中优先级最高的元素编号 那么,我们把所有“特征”相同的集合分给同一个人,这样一定合法 另一方面,我们可以证明,每一种合法方案都可以按照这种方法构造 所以我们问题有两个: • 确定每个元素的优先级,从而计算集合的特征 • 把特征相同的集合分给同一个人 一个观察是,第二个问题其实是不需要考虑的,因为有 K 的限制,每个集合分给谁是确定好的
使用状压DP,从高到低确定每个元素的优先级 记 𝑓[𝑆] 表示集合 S 里的元素已经被分配了最高的若干优先级,是否可行 转移时枚举接下来的优先级最高的元素是哪个,使用一些简单的位运算技巧确定可行性 最后根据这个 DP 还原出一种方案即可。
博主蒟蒻,若有出错的地方,敬请指出。
如有侵犯您版权的地方,请快速联系我,我会撤回本博文。

浙公网安备 33010602011771号