yolo5目标检测网络学习
yolo5的训练trick
https://zhuanlan.zhihu.com/p/197776260
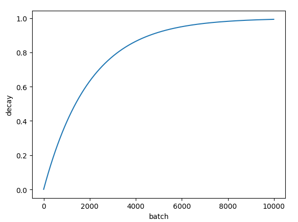
ema
权重系数随着迭代次数的变化趋势如下,当迭代次数增加时,权重系数越来越大,则后续模型的参数对整体ema模型的参数影响越来越小
import numpy as np import matplotlib.pyplot as plt x = [] y = [] for i in range(1, 10000, 10): x.append([i]) y.append(0.9999*(1-np.exp(i*-1/2000))) data_x = np.array(x) data_y = np.array(y) plt.ylabel("decay") plt.xlabel("batch") plt.plot(x, y) plt.show()

Random HSV
augment_hsv(img, hgain=hyp['hsv_h'], sgain=hyp['hsv_s'], vgain=hyp['hsv_v'])

浙公网安备 33010602011771号