二次曲线教案
一元二次方程的根与曲线交点问题教案
教学目的:带学生体会代数方程与几何之间的联系
我们知道,一元二次方程在实数范围内根的情况有0,1,2个根,直线与圆的交点个数有0,1,2个,实际上这并非巧合,在这里我不做过多赘述。我们需要给同学展示代数与几何之间联系。代数方程的解对应着曲线的交点,从几何角度可以处理方程的根,通过方程限制系数,另一方面通过方程的解来判断交点情况。
本节课开始需要叙述明白“一元二次方程的根对应圆与直线交点”
最后要抛出问题“同为二次曲线,为什么圆与圆的交点最多只有两个,椭圆与椭圆的交点可以有四个?并给出几何方向证明,以及代数方程角度证明。”
思考问题“什么样的椭圆交点至多有两个”
老师向大家提供了“二次曲线,圆与圆的交点至多只有两个的几何方向证明与代数方向证明”供大家思考揣摩,思考代数方程与几何互相解决问题的美妙。
- 圆与圆至多只有两个交点的几何证明
Proof反证法,
不妨假设两圆交点有三个A、B、C如图,设两圆圆心分别为O、P半径分别为r,R

那么OA=OB=OC=r,PA=PB=PC=R,
△AOP全等于△BOP全等于△COP(SSS)
假设B落在OP右侧,∠POB=∠POC(全等三角形对应角相等)
那么B与C重合,矛盾。
- 圆与圆至多只有两个交点的代数证明
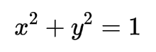
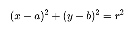
Proof为简便起见,不妨设一个圆为圆心在原点的单位圆,两圆的方程为


假设两式子联立存在三个解,那么方程①减方程②可以消掉x与y的二次项,那么成为一条直线方程,三个解都满足这个直线方程,故三个点在直线上,同时也在圆上,但之前已经推导出,直线与圆至多有两个交点,所以这又导出了矛盾。
最后,请同学们思考什么时候,椭圆与椭圆交点至多为四个,什么时候椭圆与椭圆交点至多为两个?(我们只思考长轴互相平行的椭圆,提示:考虑离心率)