会员
众包
新闻
博问
闪存
赞助商
HarmonyOS
Chat2DB
所有博客
当前博客
我的博客
我的园子
账号设置
会员中心
简洁模式
...
退出登录
注册
登录
石祎同学๑•_•๑
君子豹变
博客园
园子
首页
新随笔
联系
管理
订阅
一道迷惑性较强的复变题
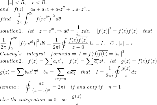
学弟问的一道复变题,解法一迷惑性较强,实际上它不解析,不能应用柯西积分公式,解法二才是正确解法,吃饭时候想到的回来敲出来,手机敲LaTeX真的麻烦啊(>﹏<)
_(:з」∠)_吐血
posted @
2020-10-30 20:03
失忆able
阅读(
206
) 评论(
1
)
收藏
举报
刷新页面
返回顶部
公告