PageRank| 图论 与推荐系统
1. PageRank
数据之中蕴藏着关系,如果数据量足够大,这种关系越逼近真实世界的客观规律。在我们的工作和生活中你会发现,网页之间的链接关系蕴藏着网页的重要性排序关系,购物车的商品清单蕴藏着商品的
关联关系,通过对这些关系的挖掘,可以帮助我们更清晰地了解客观世界的规律,并利用规律提高生产效率,进一步改造我们的世界。挖掘数据的典型应用场景有搜索排序、关联分析以及聚类;
我们使用 Google 进行搜索的时候,你会发现,通常在搜索的前三个结果里就能找到自己想要的网页内容,而且很大概率第一个结果就是我们想要的网页。而排名越往后,搜索结果与我期望的偏差越大。
并且在搜索结果页的上面,会提示总共找到多少个结果。那么 Google 为什么能在十几万的网页中知道我最想看的网页是哪些,然后把这些页面排到最前面呢?
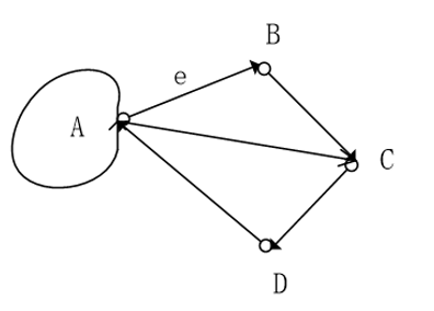
答案是 Google 使用了一种叫 PageRank 的算法,这种算法根据网页的链接关系给网页打分。如果一个网页 A,包含另一个网页 B 的超链接,那么就认为 A 网页给 B 网页投了一票,以下面四个网页 A、
B、C、D 举例,带箭头的线条表示链接。

B 网页包含了 A、D 两个页面的超链接,相当于 B 网页给 A、D 每个页面投了一票,初始的时候,所有页面都是 1 分,那么经过这次投票后,B 给了 A 和 D 每个页面 1/2 分(B 包含了 A、D 两个超链
接,所以每个投票值 1/2 分),自己从 C 页面得到 1/3 分(C 包含了 A、B、D 三个页面的超链接,每个投票值 1/3 分)。而 A 页面则从 B、C、D 分别得到 1/2、1/3、1 分。用公式表示就是

等号左边是经过一次投票后,A 页面的 PageRank 分值;等号右边每一项的分子是包含 A 页面超链接的页面的 PageRank 分值,分母是该页面包含的超链接数目。
这样经过一次计算后,每个页面的 PageRank 分值就会重新分配,重复同样的算法过程,经过几次计算后,根据每个页面 PageRank 分值进行排序,就得到一个页面重要程度的排名表。根据这个排名
表,将用户搜索出来的网页结果排序,排在前面的通常也正是用户想要的结果。
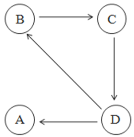
但是这个算法还有个问题,如果某个页面只包含指向自己的超链接,这样的话其他页面不断给它送分,而自己一分不出,随着计算执行次数越多,它的分值也就越高,这显然是不合理的。这种情况就像
下图所示的,A 页面只包含指向自己的超链接。

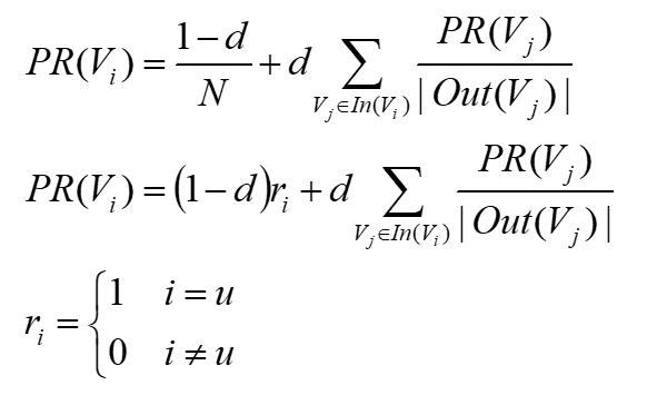
Google 的解决方案是,设想浏览一个页面的时候,有一定概率不是点击超链接,而是在地址栏输入一个 URL 访问其他页面,表示在公式上,就是

上面 (1−α) 就是跳转到其他任何页面的概率,通常取经验值 0.15(即 α 为 0.85),因为有一定概率输入的 URL 是自己的,所以加上上面公式最后一项,其中分母 4 表示所有网页的总数。那么对于 N
个网页,任何一个页面 Pi 的 PageRank 计算公式如下:

公式中,Pj∈M(Pi) 表示所有包含有 Pi 超链接的 Pj,L(Pj) 表示 Pj 页面包含的超链接数,N 表示所有的网页总和。
由于 Google 要对全世界的网页进行排名,所以这里的 N 可能是一个万亿级的数字,一开始将所有页面的 PageRank 值设为 1,带入上面公式计算,每个页面都得到一个新的 PageRank 值。再把这些新
的 PageRank 值带入上面的公式,继续得到更新的 PageRank 值,如此迭代计算,直到所有页面的 PageRank 值几乎不再有大的变化才停止。
在这样大规模的数据上进行很多次迭代计算,是传统计算方法根本解决不了的问题,这就是 Google 要研发大数据技术的原因,并因此诞生了一个大数据行业。而 PageRank 算法也让 Google 从众多搜索
引擎公司脱颖而出,铸就了 Google 接近万亿级美元的市值,开创了人类科技的新纪元。
什么是PageRank
在PageRank提出之前,搜索引擎面临的问题:
- 返回结果质量不高
- 容易被作弊
=> 如何找到优质的网页
- 匹配用户查找的内容
- 按照权重排序输出给用户
1998年,Stanford大学博士生Larry Page和Sergey Brin创立了Google,使用PageRank对海量的网页进行重要性分析。
受到论文影响力的启发
图论模型
- 有向图:边有方向的图,也就是A->B != B->A
- 无向图:没有方向的图,也就是有向图去掉所有方向
- 入度:有向图某个顶点作为终点的次数和。
- 出度:有向图某个顶点作为起点的次数和。
- 入度+出度称之为节点的度
A的出度= 3,入度=2,度= 5 ;

PageRank简化模型
出链:链接出去的链接。
入链:链接进来的链接。
一个网页u的影响力=所有入链集合的页面的加权影响力之和

u:待评估的页面,Bu为u的入链集合。
对于Bu中的任意页面v,它能给u带来的影响力是其自身的影响力PR(v)除以v页面的出链数量。即页面v把影响力PR(v)平均分配给了它的出链。这样统计所有能给u带来链接的页面v,得到的总和即为u的
影响力,即为PR(u)。
如果图所示,A的票来自B和C,L(v)为链接出去边的个数;PR(A) = PR(B) / 2 + PR(C) / 1 ; C手中的票100%都给了A,B手中的票一半给了A、一半给了B;

转移矩阵
转移矩阵:统计网页对于其他网页的跳转概率;
原因:出链会给被链接的页面赋予影响力,关键在于统计他们出链的数量;
顶点A走向了B、C、D,所以都占1/3;顶点B走向了A、D,所以各占1/2; 顶点C走向了A,占1;顶点D走向了B、C,各占1/2;

转移矩阵可以帮助我们推导每一时刻影响力的变化;
PageRank过程推导:
Step1,假设A、B、C、D的初始影响力相同W0 ;
Step2,进行第一次转移之后,页面的影响力变为
Step3,进行n次迭代后,直到页面的影响力不再发生变化,也就是页面的影响力收敛=>最终的影响力

PageRank的代码推导: import numpy as np a = np.array([[0, 1/2, 1, 0], [1/3, 0, 0, 1/2], [1/3, 0, 0, 1/2], [1/3, 1/2, 0, 0]]) b = np.array([1/4, 1/4, 1/4, 1/4]) w = b for i in range(100): w = np.dot(a, w) print(w)
简化版的模型在实际应用中是否Work?
- Rank Leak(等级泄露)
- Rank Sink(等级沉没)
不是所有的节点都满足:既有出度,又有入度
Rank Leak(等级泄露)
一个网页没有出链,就像是一个黑洞一样,吸收了别人的影响力而不释放,最终会导致其他网页的PR值为0
只进不出,比如下图的A,最终会导致除了A以外其他网页的影响力都是0;

Rank Sink(等级沉没)
一个网页只有出链,没有入链。比如节点A
迭代下来,会导致这个网页的PR值为0
只出不进,像雷锋样的人物;则A的影响力为0;

在简化模型上处理Rank Leak和Rank Sink
比如针对Rank Leak,把没有出链的节点,先从图中去掉,等所有节点计算完Rank值之后,再加上该节点进行计算。不过这种方法会导致新的Rank Leak节点的产生。
=> 治标不治本
PageRank的随机浏览模型
Larry Page提出了PageRank的随机浏览模型
假设场景:用户并不都是按照跳转链接的方式来上网,还有一种可能是不论当前处于哪个页面,都有概率访问到其他任意的页面
引入阻尼因子:d 通常取值为0.85(默认)(如果d=1就没有随机浏览了就变成经典模型了,d=0是只有随机;适当调整对模型影响不大)

即之前的简化版模型 * d阻尼因子,(85%情况走简化版模型) ,+ 随机浏览(15%情况)
使用随机浏览模型进行Python模拟 def random_work(a, w, n): d = 0.85 for i in range(100): w = (1-d)/n + d*np.dot(a, w) print(w) 解决了Rank Leak和Rank Sink问题 和简化模型结果略有不同,但影响力排序没有变化
PageRank的影响力和工具的使用
社交网络领域
- 如何计算博主影响力(粉丝数=影响力么?)
- 如何计算职场影响力(脉脉的影响力计算)
生物领域:
- 基因、蛋白研究,通过PageRank确定七个与遗传有关的肿瘤基因
推荐系统:
- 用户行为转化为图的形式
- 对用户u进行推荐,转化为计算用户u和与所有物品i之间的相关性,取与用户没有直接边相连的物品,按照相关性的高低生成推荐列表
交通网络
- 预测城市的交通流量和人流动向
PageRank工具使用
- igraph:处理复杂网络问题,提供Python, R, C语言接口,性能强大,效率比NetworkX高
- NetworkX:基于python的复杂网络库,对于Python使用者友好
图的构造,顶点和边 <node, edge>
import networkx as nx # 创建有向图 G = nx.DiGraph() # 有向图之间边的关系 edges = [("A", "B"), ("A", "C"), ("A", "D"), ("B", "A"), ("B", "D"), ("C", "A"), ("D", "B"), ("D", "C")] for edge in edges: G.add_edge(edge[0], edge[1]) pagerank_list = nx.pagerank(G, alpha=1) #alpha=1简化版模型 print("pagerank值是:", pagerank_list)
import networkx as nx 图的创建 无向图,使用nx.Graph()来创建 有向图,使用nx.DiGraph()来创建 节点的增加、删除和查询 添加节点:使用G.add_node('A'),也可以使用G.add_nodes_from(['B','C','D','E']) 删除节点:使用G.remove_node(node),也可以使用G.remove_nodes_from(['B','C','D','E']) 节点查询:G.nodes()获取图中所有节点,G.number_of_nodes()获取图中节点的个数。
边的增加 G.add_edge("A", "B")添加指定的从A到B的边 G.add_edges_from 从边集合中添加 G.add_weighted_edges_from 从带有权重的边的集合中添加 参数为1个或多个三元组[u,v,w]作为参数,u、v、w分别代表起点、终点和权重 边的删除 G.remove_edge,G.remove_edges_from 边的查询 G.edges()获取图中所有边,G.number_of_edges()获取图中边的个数。
import networkx as nx import matplotlib.pyplot as plt # 创建有向图 G = nx.DiGraph() # 设置有向图的边集合 edges = [("A", "B"), ("A", "C"), ("A", "D"), ("B", "A"), ("B", "D"), ("C", "A"), ("D", "B"), ("D", "C")] # 在有向图G中添加边集合 for edge in edges: G.add_edge(edge[0], edge[1])
# 有向图可视化 layout = nx.spring_layout(G) nx.draw(G, pos=layout, with_labels=True, hold=False) plt.show() # 计算简化模型的PR值 pr = nx.pagerank(G, alpha=1) print("简化模型的PR值:", pr) # 计算随机模型的PR值 pr = nx.pagerank(G, alpha=0.8) print("随机模型的PR值:", pr)

NetworkX的可视化布局:
spring_layout:中心放射状
circular_layout:在一个圆环上均匀分布节点
random_layout:随机分布节点
shell_layout:节点都在同心圆上
使用PageRank分析邮件中的人物关系及影响力
数据集:https://github.com/cystanford/PageRank(希拉里邮件丑闻)
包括了9306封邮件和513个人名
Emails.csv:记录了所有公开邮件的内容,发送者和接受者的信息。
Persons.csv:统计了邮件中所有人物的姓名及对应的ID。
Aliases.csv:因为姓名存在别名的情况,为了将邮件中的人物进行统一,我们还需要用Aliases文件来查询别名和人物的对应关系。
# 数据加载 emails = pd.read_csv("./input/Emails.csv") # 读取别名文件 file = pd.read_csv("./input/Aliases.csv") aliases = {} for index, row in file.iterrows(): aliases[row['Alias']] = row['PersonId'] # 读取人名文件 file = pd.read_csv("./input/Persons.csv") persons = {} for index, row in file.iterrows(): persons[row['Id']] = row['Name'] # 针对别名进行转换 def unify_name(name): # 画网络图 def show_graph(graph): # 将寄件人和收件人的姓名进行规范化 emails.MetadataFrom = emails.MetadataFrom.apply(unify_name) emails.MetadataTo = emails.MetadataTo.apply(unify_name) # 设置遍的权重等于发邮件的次数 edges_weights_temp = defaultdict(list) for row in zip(emails.MetadataFrom, emails.MetadataTo, emails.RawText): temp = (row[0], row[1]) if temp not in edges_weights_temp: edges_weights_temp[temp] = 1 else: edges_weights_temp[temp] = edges_weights_temp[temp] + 1 # 转化格式 (from, to), weight => from, to, weight edges_weights = [(key[0], key[1], val) for key, val in edges_weights_temp.items()] # 创建一个有向图 graph = nx.DiGraph() # 设置有向图中的路径及权重(from, to, weight) graph.add_weighted_edges_from(edges_weights) # 计算每个节点(人)的PR值,并作为节点的pagerank属性 pagerank = nx.pagerank(graph) # 获取每个节点的pagerank数值 pagerank_list = {node: rank for node, rank in pagerank.items()} # 将pagerank数值作为节点的属性 nx.set_node_attributes(graph, name = 'pagerank', values=pagerank_list) # 画网络图 show_graph(graph) # 将完整的图谱进行精简 # 设置PR值的阈值,筛选大于阈值的重要核心节点 pagerank_threshold = 0.005 # 复制一份计算好的网络图 small_graph = graph.copy() # 剪掉PR值小于pagerank_threshold的节点 for n, p_rank in graph.nodes(data=True): if p_rank['pagerank'] < pagerank_threshold: small_graph.remove_node(n) # 画网络图 show_graph(small_graph, 'circular_layout')


PageRank相关算法
PageRank不仅仅是一种算法,而是一种思想;
TextRank算法
EdgeRank算法
PersonalRank算法
TextRank算法
- 一种用于文本的基于图的排序算法
- 根据词之间的共现关系构造网络
- 构造的网络中的边是无向有权边
对下面句子进行分词得到如图所示:
Compatibility of systems of linear constraints over the set of natural numbers. Criteria of compatibility of a system of linear Diophantine equations, strict inequations, and nonstrict inequations are
considered. Upper bounds for components of a minimal set of solutions and algorithms of construction of minimal generating sets of solutions for all types of systems are given. These criteria and the
corresponding algorithms for constructing a minimal supporting set of solutions can be used in solving all the considered types systems and systems of mixed types.

什么是分词和词性
- 文本:土耳其国防部9日晚宣布,土军队已对叙利亚北部的库尔德武装展开军事行动。
- 进行分词:seg_list = jieba.cut(sentence, cut_all=False)
- 获取词性:words = pseg.cut(sentence)
都有哪些词性:

文本:土耳其国防部9日晚宣布,土军队已对叙利亚北部的库尔德武装展开军事行动。
进行分词:seg_list = jieba.cut(sentence, cut_all=False)
获取词性:words = pseg.cut(sentence)
TextRank流程
Step1,进行分词和词性标注,将单词添加到图中
Step2,出现在一个窗口中的词形成一条边
Step3,基于PageRank原理进行迭代(20-30次)
Step4,顶点(词)按照分数进行排序,可以筛选指定的词性

Wij: 单词i和j之间的权重
节点的权重不仅依赖于入度,还依赖于入度节点的权重
jieba中使用TextRank提取关键词
- jieba.analyse.textrank(string, topK=20, withWeight=True, allowPOS=())
- string:待处理语句
- topK:输出topK个词,默认20
- withWeight:是否返回权重值,默认false
- allowPOS:是否仅返回指定类型,默认为空
jieba中使用TF-IDF提取关键词
- jieba.analyse.extract_tags(sentence, topK=20, withWeight=True, allowPOS=())
- 效果好于TextRank,考虑了IDF的情况,而TextRank倾向使用频繁词
- 效率高于TextRank,TextRank基于图的计算和迭代较慢
textrank4zh工具
- TextRank除了可以找到关键词,还可以生成摘要(关键句子)
- 依赖分词,分词提取结果及TextRank结果与jieba存在差异
from textrank4zh import TextRank4Keyword, TextRank4Sentence # 输出关键词,设置文本小写,窗口为2 tr4w = TextRank4Keyword() tr4w.analyze(text=text, lower=True, window=2) print('关键词:') for item in tr4w.get_keywords(20, word_min_len=1): print(item.word, item.weight) # 输出重要的句子 tr4s = TextRank4Sentence() tr4s.analyze(text=text, lower=True, source = 'all_filters') print('摘要:') # 重要性较高的三个句子 for item in tr4s.get_key_sentences(num=3): # index是语句在文本中位置,weight表示权重 print(item.index, item.weight, item.sentence)
TextRank生成摘要的原理:
- 每个句子作为图中的节点
- 如果两个句子相似,则节点之间存在一条无向有权边
- 相似度=同时出现在两个句子中的单词的个数/句子中单词个数求对数之和
- (分母使用对数可以降低长句在相似度计算上的优势)
EdgeRank
2017年底,微博采用了类似FaceBook的EdgeRank算法。
权重高低按:
- 粉丝亲密度
- 内容质量
- 原创程度等来区分
结果:微博算法调整,100万真实粉丝的账号,阅读量不到10万
基于图的推荐算法
将用户行为转化为图模型
哪些不与用户u相连的item节点,对用户u的影响力大?
黑色点代表用户,a/b/c/d/e代表商品item;

从用户u对应的节点开始游走
PageRank随机模型改成以(1-d)的概率固定从u重新开始
d的概率继续游走
当收敛的时候,计算item节点影响力排名,即为用户u感兴趣的item

Summary
- 经典的模型往往很简单,但影响力巨大
- 可以衍生出很多相关/改进模型
- PageRank提出了一个经典的基于图论的影响力模型
如何将工程转化为模型
- 关联性:能否转化为图论,类似Word Embedding中的word和sentence
- 需求点:影响力排序,item embedding 相似度计算
2. 图论
图论工具的作用
如果我们把图看成工具的话,它可以满足我们很多需求
- 节点影响力:PageRank
- 社区发现:LPA
- 最短路径:Dijkstra,Floyd
节点可以是任何事物:words, sentences, images, users
什么是社区发现
什么是社区发现
现实中存在着各种网络:社交网络,交通网络,交易网络,食物链。将这些行为转化为图的网络形式
社区发现是一种聚类算法
作用:精准定位群体,方便进行商品推荐,好友推荐,广告投放

机器学习的三种形式
- 监督学习:利用已经标注好的数据样本,训练模型
- 无监督学习:数据都没有标注,利用没有标注的样本进行类别划分,也称为聚类。
- 半监督学习:介于监督学习和无监督学习之间。同时使用标记数据和未标记数据的机器学习方法。原理是:基于数据分布上的模型假设,利用少量的已标注数据进行指导并预测未标记数据的标记,并合并到标记数据集中。LPA标签传播算法属于半监督学习。
社区的种类
- 非重叠社区:任意两个社区的顶点之间没有交集
- 重叠社区,在社区内部存在顶点之间的交集

社区发现常用算法LPA& COPRA
- LPA:Label Propagation Algorithm 非重叠社区,基于标签传播的非重叠社区发现算法
- COPRA:Community Overlap PRopagation Algorithm,基于LPA的扩展算法,用于重叠社区发现算法
LPA算法
- Step1,每个节点拥有独立的标签
- Step2,标签传播,节点向邻居节点传播自己的标签
- Step3,标签更新,每个节点的标签更新为邻居节点中出现次数最多的标签。如果存在多个选择,则随机选择一个
- Step4,如果节点更新后的标签发生了变化,则返回到Step2(激活状态),否则节点进入非激活状态,如果所有图中所有节点均为非激活状态,则标签更新结束。此时具有相同标签的节点属于同一个社区
LPA算法示意
- 使用加权和更新节点标签
- 圆形标签权重=0.2+0.8+0.1=1.1
- 三角形标签权重=0.4+0.6=1,所以节点标签更新为圆形
- 使用加权平均更新节点标签
- 圆形标签权重=(0.2+0.8+0.1)/3=0.367
- 三角形标签权重=(0.4+0.6)/2=0.5,节点标签更新为三角形

图论工具NetWorkX & igraph
图论工具NetworkX
G=nx.read_gml('./football.gml')
nx.draw(G,with_labels=True)
plt.show()
print(nx.shortest_path(G, source='Buffalo', target='Kent'))
print(nx.shortest_path(G, source='Buffalo', target='Rice'))

社区发现数据集
- football.gml
- 美国大学生足球联赛的复杂网络,包括115支球队(节点)和616场比赛(边)。实际上参赛的115支球队被分为12个联盟。比赛机制为:联盟内部的球队进行小组赛,然后是联盟之间比赛。
- karate.gml
- 一个美国大学空手道俱乐部的网络,34个成员(节点)和78条边(成员之间存在的友谊关系)
- dolphins.gml
- 长达7年的时间观察新西兰Doubtful Sound海峡 62 只海豚(节点)的交流情况(边)而得到的复杂网络。有 62 个节点,159 条边。
图论工具NetworkX
import networkx as nx from networkx.algorithms import community G=nx.read_gml('./football.gml') # 社区发现 communities = list(community.label_propagation_communities(G)) print(communities)
图论工具igraph
- 可以处理百万级节点的网络
- NetworkX比igraph好用
- igraph比NetworkX强大
import igraph g = igraph.Graph.Read_GML('./football.gml') igraph.plot(g) print(g.community_label_propagation())
最短路径问题Dijkstra& floyd
已知各城市之间距离,寻找从指定城市A到城市D的最短出行方案,或者各城市距离一致,给出需要最少中转方案
- Dijkstra算法
- floyd算法

Dijkstra算法原理
- 指定起点s,引进两个集合S和U。
- S:是记录已求出最短路径的顶点(以及相应的最短路径长度)
- U:记录还未求出最短路径的顶点(以及该顶点到起点s的距离)。
- Step1,S中只有起点s,从U中找出路径最短的顶点,将其加入到S中
- Step2,更新U中的顶点和顶点对应的路径
- 重复Step1和Step2 直到遍历完所有顶点
- 重复Step1,即更新S:从U中找出路径最短的顶点,加入到S中;
- 重复Step2,即更新U中的顶点和顶点对应的路径
比如我们想要计算从D到其他城市的最短距离
Step1,S={D(0)}, U={A(∞),B(∞),C(3),E(4),F(∞),G(∞)}

通过C,更新从D到其他城市的最短距离:
Step2,S={D(0),C(3)},
B(∞)=C(3)+10=13
F(∞)=C(3)+6=9
E(4)=C(3)+5=8(不更新)
U={A(∞),B(13),E(4),F(9),G(∞)}

通过E,更新从D到其他城市的最短距离:
Step3,S={D(0),C(3),E(4)},
F(9)=E(4)+2=6
G(∞)=E(4)+8=12
U={A(∞),B(13),F(6),G(12)}

通过F,更新从D到其他城市的最短距离:
Step4,S={D(0),C(3),E(4),F(6)},
B(13)=F(6)+7=13 (不更新)
G(12)=F(6)+9=15 (不更新)
A(∞)=F(6)+16=22
U={A(22),B(13),G(12)}

通过G,更新从D到其他城市的最短距离
Step5,S={D(0),C(3),E(4),F(6),G(12)},
A(22)=G(12)+14=26 (不更新)
U={A(22),B(13)}

通过B,更新从D到其他城市的最短距离:
Step6,S={D(0),C(3),E(4),F(6),G(12),B(13)},
A(22)=B(13)+12=25 (不更新)
U={A(22)}

最终,得到从D到其他城市的最短距离:
S={D(0),C(3),E(4),F(6),G(12),B(13),A(22)}

Floyd算法
初始的距离矩阵

Thinking:在图论算法中,为什么Floyd算法中k,i,j顺序不能颠倒,k不仅是它的顶点还代表是它的阶段 n=7 for k in range(0, n): for i in range(0, n): for j in range(0, n): if a[i][k] + a[k][j] < a[i][j]: a[i][j] = a[i][k] + a[k][j] print('各城市之间的最短距离:', a) print('城市D到其他城市的最短距离:', a[3])
Floyd算法原理:
- 使用了动态规划的思想,将图中顶点编号为1-n
- 以两点之间最短距离经过的顶点中最大的顶点编号作为阶段,两点间目前算出的最短路径作为状态的值
- 假设 为顶点编号i和j两点经过 最大顶点编号不超过k的最短路径长度,那么:

图论与推荐系统
推荐系统中的图论应用
- PersonalRank,基于图的推荐算法
- 使用PageRank对节点进行影响力计算,由复杂网络=>Small World
- 按照影响力阈值进行筛选,对重要的节点网络进行可视化呈现
推荐系统中的图论应用
- 基于最短距离的好友推荐
- 社交网络已经变成了Small Word
- 原有的六度理论 => 3.57度(Facebook)
- 但好友之间存在关系远近,如何从指定用户A->C的找到最短路径
推荐系统中的图论应用
- LPA,对用户群进行聚类=>用户画像
- 推荐系统初期,用户画像(标签)太少,未标签的用户太多
- 当标签数<<未标签数时,传统的监督式学习不work,可以采用半监督学习,即通过有限的标签传播至未标签的数据
- 图论是很有用的工具,不仅是推荐系统,很多应用场景都可以转化为图论问题
Thinking1:高德地图中的路径规划原理是怎样的?
Thinking2:football.gml 美国大学生足球联赛,包括115支球队,被分为12个联盟。为什么使用LPA标签传播进行社区发现,只发现了11个社区?
Thinking3:微博采用了类似FaceBook的EdgeRank算法,如果你给微博的信息流做设计,你会如何设计?
Action1:使用Python模拟下面的PageRank计算过程,求每个节点的影响力(迭代100次)
Action2:使用TextRank对新闻进行关键词提取,及文章摘要输出
新闻文本见:news_高考.txt https://new.qq.com/rain/a/20200724A0EFCU00

浙公网安备 33010602011771号