代码改变世界

游戏开发中的数学和物理算法(6):圆和球的碰撞检测

2010-04-23 08:37  宝宝合凤凰  阅读(427)  评论(0)    收藏  举报

游戏开发中的数学和物理算法(6):圆和球的碰撞检测

1.圆的碰撞检测

圆的碰撞条件:
当两个圆相切或者相交时,我们认为两个圆应该开始发生碰撞。


数学表示:

计算机中的实现:


bool CollisionBetweenCircles(circle c1,circle c2)
{
    
bool hit;
    
float distanceOfCenter=sqrt(pow((c1.center.x-c2.center.x),2)+
                                pow((c1.center.y
-c2.center.y),2));
    
float distanceOfRadius=c1.radius+c2.radius;
    
if(distanceOfCenter<=distanceOfRadius)
    {
        hit
=true;
    }
    
else
    {
        hit
=false;
    }
    
return hit;
}

 

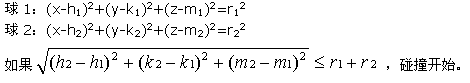
2.球的碰撞

球的碰撞条件:
当两个球相切或者相交时,我们认为两个球应该开始发生碰撞。

数学表示:

计算机中的实现:


bool CollisionBetweenSphere(sphere s1,sphere s2)
{
    
bool hit;
    
float distanceOfCenter=sqrt(pow((s1.center.x-s2.center.x),2)+
                                pow((s1.center.y
-s2.center.y),2)+
                                pow((s1.center.z
-s2.center.z),2));
    
float distanceOfRadius=s1.radius+s2.radius;
    
if(distanceOfCenter<=distanceOfRadius)
    {
        hit
=true;
    }
    
else
    {
        hit
=false;
    }
    
return hit;
}