【题解】[蓝桥杯 2023 省 B] 景区导游
P9245 [蓝桥杯 2023 省 B] 景区导游
蒟蒻的第一篇题解,有不对的地方欢迎指正QAQ
题目传送门
题目省流
在给出的的一棵带边权(也就是题中的 时间 )的树中在 $k-1$ 个点走 $k$ 次,求第 $i$ 次时经过的所有边权和
分析题目
以下是根据样例建的树
点上的数字代表 点的编号

假设要从 $6$ 号点到 $5$ 号点
路径应该是 6 -> 4 -> 3 -> 5
时间和则是 3 + 2 + 2 = 7
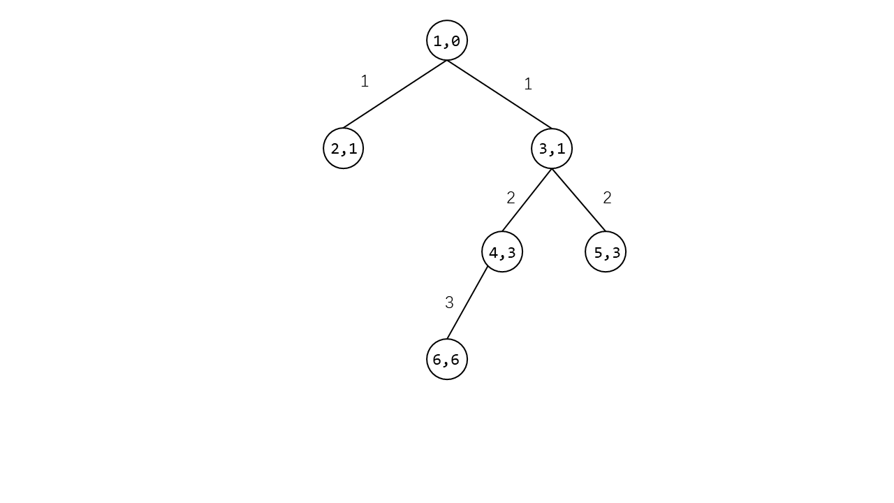
容易想到,如果用前缀和维护该树,如图
点上的数字代表 ( 点的编号 , 从根到该点的边权和(时间) )

若 $time[i]$ 代表从根节点到 $i$ 节点的时间和
那么从 $6$ 号点到 $5$ 号点的时间和可以很方便的用
time[6]-time[3]+time[5]-time[3]
= time[6]+time[5]-2*time[3]
= 6 + 3 - 2 * 1
= 7
表示
那么 $3$ 号点是什么呢,就是 $5$ 号点和 $6$ 号点的 最近公共祖先
若用 LCA(i,j) 表示 $i$ 节点和 $j$ 节点的 最近公共祖先,则从 $i$ 节点到 $j$ 节点的时间和为
time[i]+time[j]-2*time[LCA(i,j)]
于是,我们可以使用 前缀和 & 倍增求LCA 求出完整线路(经过 $k$ 个点)的时间和
最后遍历一遍跳过的景点(设为第 $i$ 个点),用总时间减去 $i-1$ 点到 $i$ 点和 $i$ 点到 $i+1$ 点的时间并加上 $i-1$ 到 $i+1$ 的时间
好长啊听不懂
没事 上图!

LCA
LCA可以分为3个阶段
- 上升至同一高度
- 一起向上寻找祖先
- 找到辣!
// 这里使用倍增求LCA
int LCA(int u,int v){
// STEP 1
// 将深度大的放在变量u,方便处理
if(tree[v].depth>tree[u].depth) swap(u,v);
int step = tree[u].depth-tree[v].depth;
while(step){
// 倍增向上step层,到v的同一高度
u = father[u][(int)log2(lowbit(step))];
step -= lowbit(step);
}
if(u==v) return u; // 特判∶v是u的祖宗,向上step层直接碰到了
// STEP 2
for(int i=20;i>=0;i--){
// 倍增向上找最近公共祖先
if(father[u][i]!=father[v][i]){
u = father[u][i];
v = father[v][i];
}
}
// STEP 3
return father[u][0]; // 返回最近公共祖先
}
CODE
#include<bits/stdc++.h>
#define ll long long
using namespace std;
const int N = 100010;
struct treeNode{
int time_,depth;
}tree[N];
// 链式前向星存边
int head[N],edge[2*N],to[2*N],next_[2*N],cnt=1;
void add(int u,int v,int w){
edge[cnt] = w;
to[cnt] = v;
next_[cnt] = head[u];
head[u] = cnt++;
}
int guide[N],father[N][21],n,k;
// guide[i] 表示原定路线中第i个景点编号,father[i][j] 表示景点i的第2^k代祖宗结点的编号
ll record[N][2];
// record[i][0] 表示第i个景点到第i+1个景点的时间和
// record[i][1] 表示第i个景点到第i+2(跳过i+1)个景点的时间和
void init(){
// 初始化倍增数组
for(int j=1;j<=20;j++){
for(int i=1;i<=n;i++){
father[i][j] = father[father[i][j-1]][j-1];
}
}
}
void dfs(int x,int f,int depth=1){
// 深搜记录深度,父子关系,时间前缀和
tree[x].depth = depth;
for(int i=head[x];i;i=next_[i]){
int v = to[i],t = edge[i];
if(v==f) continue; // 不要往回搜啊喂
tree[v].time_ = tree[x].time_ + t;
father[v][0] = x;
dfs(v,x,depth+1);
}
}
int lowbit(int x){
return -x&x;
}
int LCA(int u,int v){
// 将深度大的放在变量u,方便处理
if(tree[v].depth>tree[u].depth) swap(u,v);
int step = tree[u].depth-tree[v].depth;
while(step){
// 倍增向上step层,到v的同一高度
u = father[u][(int)log2(lowbit(step))];
step -= lowbit(step);
}
if(u==v) return u; // 特判∶v是u的祖宗,向上step层直接碰到了
for(int i=20;i>=0;i--){
// 倍增向上找最近公共祖先
if(father[u][i]!=father[v][i]){
u = father[u][i];
v = father[v][i];
}
}
return father[u][0]; // 返回最近公共祖先
}
ll getTime(){
ll sum = 0;
// sum用于计算原路线时间和
for(int i=2;i<=k;i++){
// 往第i+1个景点走的时间
int u=guide[i-1],v=guide[i];
int lca = LCA(u,v);
record[i-1][0] += tree[u].time_-tree[lca].time_;
record[i-1][0] += tree[v].time_-tree[lca].time_;
sum += record[i-1][0];
}
for(int i=3;i<=k;i++){
// 往第i+2个景点走的时间
int u=guide[i-2],v=guide[i];
int lca = LCA(u,v);
record[i-2][1] += tree[u].time_-tree[lca].time_;
record[i-2][1] += tree[v].time_-tree[lca].time_;
}
return sum;
}
int main(){
cin>>n>>k;
for(int i=1;i<n;i++){
int u,v,t;cin>>u>>v>>t;
add(u,v,t);
add(v,u,t);
// 存边!
}
dfs(1,0); // 以1号点为根建树!
init();
for(int i=1;i<=k;i++) cin>>guide[i];
ll sum = getTime();
for(int i=1;i<=k;i++){
cout<<sum-record[i-1][0]-record[i][0]+record[i-1][1]<<" ";
}
return 0;
}
浙公网安备 33010602011771号