BZOJ 2693 jzptab
http://www.lydsy.com/JudgeOnline/problem.php?id=2693

题解:
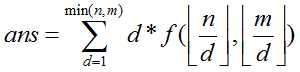
考虑把lcm转化成gcd
那答案就是
然后神奇的设:
就有:
一样可以枚举
的取值,这是O(√n)的;
然后求f(x,y);
大概证明了一下= =
线性筛之后也可以O(√n)求出f(x,y)
总复杂度O(n),常数略大。。
这题显然是卡O(n)过不了呗
那就还得优化
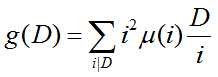
预处理这玩意
然后O(√n)就搞出来啦!
设
“积性函数的约数和也是积性函数” ->好像比较显然?
所以g(D)是积性函数
线性筛裸上就好
#include<cstdio> #include<cstring> #include<cmath> #include<iostream> #include<algorithm> #define ll long long const ll Mod=100000009; ll g[10010005],p[10010005],sum[10010005]; bool mark[10010005]; ll read(){ ll t=0,f=1;char ch=getchar(); while (ch<'0'||ch>'9'){if (ch=='-') f=-1;ch=getchar();} while ('0'<=ch&&ch<='9'){t=t*10+ch-'0';ch=getchar();} return t*f; } void init(){ g[1]=sum[1]=1; for (ll i=2;i<10010000;i++){ if (!mark[i]){ p[++p[0]]=i; g[i]=(ll)((i-i*i)%Mod+Mod)%Mod; } for (ll j=1;j<=p[0]&&p[j]*i<=10010000;j++){ mark[i*p[j]]=1; if (i%p[j]==0){ g[i*p[j]]=g[i]*(p[j])%Mod; break; }else g[i*p[j]]=g[i]*g[p[j]]%Mod; } sum[i]=sum[i-1]+g[i]; } } ll F(ll x,ll y){ return (((x*(x+1)/2LL)%Mod)*((y*(y+1)/2LL)%Mod))%Mod; } int main(){ init();int T=read(); while (T--){ ll n=read(),m=read(); if (n>m) std::swap(n,m); ll j;ll ans=0; for (ll i=1;i<=n;i=j+1){ j=std::min(n/(n/i),m/(m/i)); ans+=((sum[j]-sum[i-1]%Mod+Mod)%Mod)*F(n/i,m/i); ans%=Mod; } printf("%lld\n",ans); } }

浙公网安备 33010602011771号