数论(笔记)
参考课件
1. 同余
1.1 同乘性
\({\displaystyle a\equiv b{\pmod {m}}}\)
\({\displaystyle c\equiv d{\pmod {m}}}\)
则 \({\displaystyle a*c\equiv b*d{\pmod {m}}}\)
证明
\({a = k_1m+x}\) ; \({b = k_2m+x}\)
\({c = k_3m+y}\) ; \({d = k_4m+y}\)
\({a*c = k_1k_3m^2+k_1my+k_3mx+x*y}\) ; \({b*d = k_2k_4m^2+k_2my+k_4mx+y*x}\)
\({a*c {\pmod m} = x*y}\) ; \({b*d {\pmod m} = x*y}\)
\({\displaystyle a*c\equiv b*d {\pmod m}}\)
1.2 同除性
\({\displaystyle a*p\equiv b*p{\pmod {m}}}\)
当且仅当 \(p\) 与 \(m\) 互质时 , \({\displaystyle a\equiv b{\pmod {m}}}\)一定成立
证明
因为
\({\displaystyle a*p\equiv b*p{\pmod {m}}}\)
所以
\((a-b)*x*p=m*y\) \((x,y \in N^*)\)
所以
$(a-b)*x = m * y/p $ \((x,y \in N^*)\)
若 \(m\) 与 \(p\) 互质, 则 \(y\) 必整除 \(p\) ,满足系数为整数. 否则,由于 \(p\) 与\(m\) 有公因数,且这个公因数一定不是 \(y\) 的因数, 所以 \(y/p\) 不是整数,所以不成立.
2. 欧拉函数
欧拉函数定义:\(\varphi(n)\) 表示不大于 \(n\) 的正整数中与 \(n\) 互质的数的个数(包括 \(1\))。
\(\varphi(n) = n × \displaystyle \prod_{i=1}^{k}({1 \over {1-p_i}})\)
其中 \(p\) 为 \(n\) 的所有质因子。

2.1 求 \(n\) 的 \(\varphi\)
int exgcd(int k)
{
int m=int(sqrt(k+0.5));
int ans=k;
for(int i=2;i<=m;i++)
{
if(k%i==0)
{
ans=ans/i*(i-1);
while(k%i==0) k/=i;
}
}
if(k>1) ans=ans/k*(k-1);
return ans;
}
2.2 求 \(1--n\) 的 \(\varphi\)
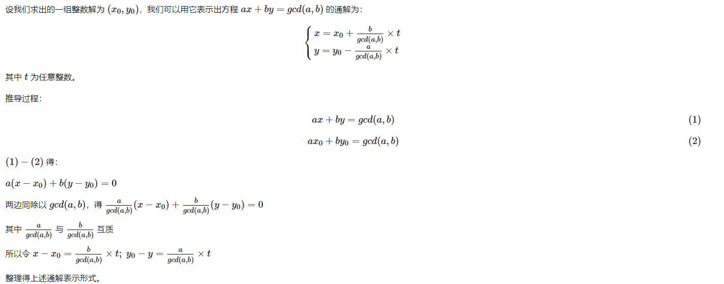
3. 扩展欧几里得及求通解

求通解

int exgcd(int a,int b)
{
if(b==0)
{
x=1; y=0; return a;
}
int res=exgcd(b,a%b),t=x;
x=y; y=t-(a/b)*y;
return res;
}
4. 求逆元
定义


4.1 费马小定理求逆元

4.2 欧拉定理求逆元

4.3 扩展欧几里得求逆元

4.4 线性求逆元


4.5 求阶乘逆元
\[ny1[i]=(LL)(p-p/i)*ny1[p \% i] \% p; \]\[ny2[i]=(LL)(ny2[i-1]*ny1[i] \% p; \]
浙公网安备 33010602011771号