神经网络优化篇:详解归一化网络的激活函数(Normalizing activations in a network)
归一化网络的激活函数
在深度学习兴起后,最重要的一个思想是它的一种算法,叫做Batch归一化,由Sergey loffe和Christian Szegedy两位研究者创造。Batch归一化会使的参数搜索问题变得很容易,使神经网络对超参数的选择更加稳定,超参数的范围会更加庞大,工作效果也很好,也会是的训练更加容易,甚至是深层网络。让来看看Batch归一化是怎么起作用的吧。

当训练一个模型,比如logistic回归时,也许会记得,归一化输入特征可以加快学习过程。计算了平均值,从训练集中减去平均值,计算了方差,接着根据方差归一化的数据集,在之前了解到的,这是如何把学习问题的轮廓,从很长的东西,变成更圆的东西,更易于算法优化。所以这是有效的,对logistic回归和神经网络的归一化输入特征值而言。

那么更深的模型呢?不仅输入了特征值\(x\),而且这层有激活值\(a^{[1]}\),这层有激活值\(a^{[2]}\)等等。如果想训练这些参数,比如\(w^{[3]}\),\(b^{[3]}\),那归一化\(a^{[2]}\)的平均值和方差岂不是很好?以便使\(w^{[3]}\),\(b^{[3]}\)的训练更有效率。在logistic回归的例子中,看到了如何归一化\(x_{1}\),\(x_{2}\),\(x_{3}\),会帮助更有效的训练\(w\)和\(b\)。
所以问题来了,对任何一个隐藏层而言,能否归一化\(a\)值,在此例中,比如说\(a^{[2]}\)的值,但可以是任何隐藏层的,以更快的速度训练\(w^{[3]}\),\(b^{[3]}\),因为\(a^{[2]}\)是下一层的输入值,所以就会影响\(w^{[3]}\),\(b^{[3]}\)的训练。简单来说,这就是Batch归一化的作用。尽管严格来说,真正归一化的不是\(a^{[2]}\),而是\(z^{[2]}\),深度学习文献中有一些争论,关于在激活函数之前是否应该将值\(z^{[2]}\)归一化,或是否应该在应用激活函数\(a^{[2]}\)后再规范值。实践中,经常做的是归一化\(z^{[2]}\),所以这就是介绍的版本,推荐其为默认选择,那下面就是Batch归一化的使用方法。

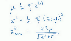
在神经网络中,已知一些中间值,假设有一些隐藏单元值,从\(z^{(1)}\)到\(z^{(m)}\),这些来源于隐藏层,所以这样写会更准确,即\(z^{[l](i)}\)为隐藏层,\(i\)从1到\(m\),但这样书写,要省略\(l\)及方括号,以便简化这一行的符号。所以已知这些值,如下,要计算平均值,强调一下,所有这些都是针对\(l\)层,但省略\(l\)及方括号,然后用正如常用的那个公式计算方差,接着,会取每个\(z^{(i)}\)值,使其规范化,方法如下,减去均值再除以标准偏差,为了使数值稳定,通常将\(\varepsilon\)作为分母,以防\(σ=0\)的情况。

所以现在已把这些\(z\)值标准化,化为含平均值0和标准单位方差,所以\(z\)的每一个分量都含有平均值0和方差1,但不想让隐藏单元总是含有平均值0和方差1,也许隐藏单元有了不同的分布会有意义,所以所要做的就是计算,称之为\({\tilde{z}}^{(i)}\),\({\tilde{z}}^{(i)}= \gamma z_{\text{norm}}^{(i)} +\beta\),这里\(\gamma\)和\(\beta\)是模型的学习参数,所以使用梯度下降或一些其它类似梯度下降的算法,比如Momentum或者Nesterov,Adam,会更新\(\gamma\)和\(\beta\),正如更新神经网络的权重一样。

请注意\(\gamma\)和\(\beta\)的作用是,可以随意设置\({\tilde{z}}^{(i)}\)的平均值,事实上,如果\(\gamma= \sqrt{\sigma^{2} +\varepsilon}\),如果\(\gamma\)等于这个分母项(\(z_{\text{norm}}^{(i)} = \frac{z^{(i)} -\mu}{\sqrt{\sigma^{2} +\varepsilon}}\)中的分母),\(\beta\)等于\(\mu\),这里的这个值是\(z_{\text{norm}}^{(i)}= \frac{z^{(i)} - \mu}{\sqrt{\sigma^{2} + \varepsilon}}\)中的\(\mu\),那么\(\gamma z_{\text{norm}}^{(i)} +\beta\)的作用在于,它会精确转化这个方程,如果这些成立(\(\gamma =\sqrt{\sigma^{2} + \varepsilon},\beta =\mu\)),那么\({\tilde{z}}^{(i)} = z^{(i)}\)。
通过对\(\gamma\)和\(\beta\)合理设定,规范化过程,即这四个等式,从根本来说,只是计算恒等函数,通过赋予\(\gamma\)和\(\beta\)其它值,可以使构造含其它平均值和方差的隐藏单元值。

所以,在网络匹配这个单元的方式,之前可能是用\(z^{(1)}\),\(z^{(2)}\)等等,现在则会用\({\tilde{z}}^{(i)}\)取代\(z^{(i)}\),方便神经网络中的后续计算。如果想放回\([l]\),以清楚的表明它位于哪层,可以把它放这。

所以希望学到的是,归一化输入特征\(X\)是怎样有助于神经网络中的学习,Batch归一化的作用是它适用的归一化过程,不只是输入层,甚至同样适用于神经网络中的深度隐藏层。应用Batch归一化了一些隐藏单元值中的平均值和方差,不过训练输入和这些隐藏单元值的一个区别是,也许不想隐藏单元值必须是平均值0和方差1。

比如,如果有sigmoid激活函数,不想让的值总是全部集中在这里,想使它们有更大的方差,或不是0的平均值,以便更好的利用非线性的sigmoid函数,而不是使所有的值都集中于这个线性版本中,这就是为什么有了\(\gamma\)和\(\beta\)两个参数后,可以确保所有的\(z^{(i)}\)值可以是想赋予的任意值,或者它的作用是保证隐藏的单元已使均值和方差标准化。那里,均值和方差由两参数控制,即\(\gamma\)和\(\beta\),学习算法可以设置为任何值,所以它真正的作用是,使隐藏单元值的均值和方差标准化,即\(z^{(i)}\)有固定的均值和方差,均值和方差可以是0和1,也可以是其它值,它是由\(\gamma\)和\(\beta\)两参数控制的。

浙公网安备 33010602011771号