【理论基础】神经网络及相关基础概念
神经网络基本思想:
相当于逻辑回归问题,进行高维下的类曲线模拟,从而解决一个有监督的分类问题;
神经网络一些术语:
1.ReLU函数(rectified linear unit,即修正线性单元):

基本函数图像如上所示,其中θ参数值为直线和横坐标的交点,要求x取值应该大于等于 θ;
2.有监督学习:
需要将数据打标签,多用于分类;
3.结构数据和非结构数据:
结构数据:类似于数据库SQL表类型,每个特征有清晰的定义;
非结构数据:原始的音频,图像,语句。例如图像像素、语义等结构的数据;
逻辑回归:
就是一个简单的二分类问题;
通常采用y=WTx+b来表示。
其中WT和b代表参数,x代表输入,y代表预测值;
但是对于二元分类问题,往往希望y处于[0,1]范围内,所以但是y有可能超过范围。
所以采用sigmoid函数,将y值映射再[0,1]之间;

所以常表示为:y=σ(WTx+b);

对于单个样本损失函数,有以下形式,可以在是的Loss minmize的同时,是的和实际值相近:

对于整体训练集的成本函数,用于衡量整个样本下的w和b参数的训练效果,有:
![]()
代表整个样本下的,所有损失函数最小化的集合版本;
对于J(w,b),在空间下的表示为一个凸函数:

所以对于minmize J,相当于找空间的最低点,通常的方法采用梯度下降来进行最低点的寻找。
对于地图下降,更新形式为使用各个方向的偏导来进行梯度下降;
例如,对于参数w,有:

其中,α代表学习速率,代表每次更新w的步幅长度;
对于二维凸函数来说,各个方向的也必定是凸函数;
所以对于曲线某点求导,当设置学习速率,无论在最低点的哪个方向,都可以使得由于导数方向正负的不同加减不同的值,来逼近最低点;

b值得更新同理,所以可以在二维图像上无限逼近于最低点;
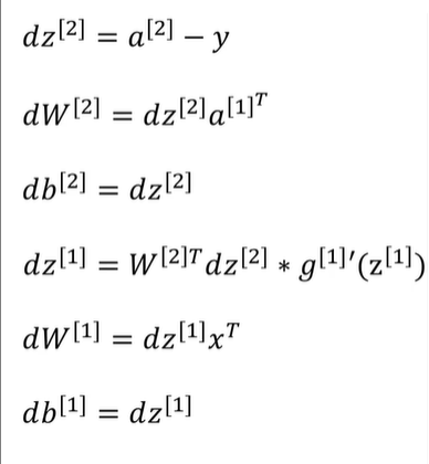
反向传播:
反向传播依据的是计算图理论,也就是多元微分学得链式法则,通过链式偏导公式来计算相应的影响值,也就是通过某个变量的改变,会导致J变化得成都是多少;
例如J函数具有以下计算图:


例如:

简而言之,反向传播得意义就是进行下一步更新;
即得到相应的偏导数,进行下列公式的反复迭代计算,更新w和b,是的代价函数最小;

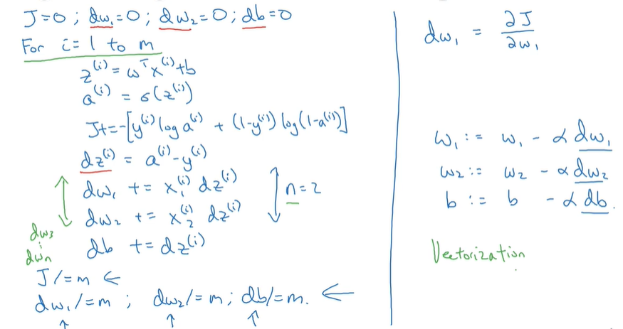
所以,将整个训练过程,如果推广到m个训练样本,整个数据集采用向量表示。
各个反向梯度得参数导数形式为:

所以对于整个流程为(如果采用朴素for循环表示):

这里注意一下左边绿色箭头部分:

这个是根据链式偏导求得的,也就是假设

通过链式求导化简即为该函数,中间省略了几步。
但是对于非向量计算,只采用for循环是效率低下的,如果采用向量化计算可以很好的避免这个问题;
对于普通的计算:

两者的差距如下(使用向量可以很好的省去循环的问题,直接采用numpy中的向量相乘即可):

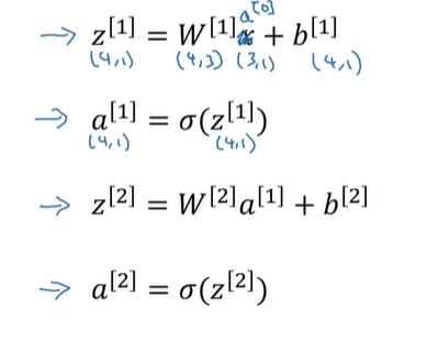
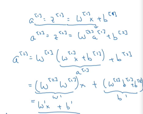
神将网络下得节点表示:

右边式子代表隐含层得输出值,如果采用想向量表示隐含层的输出变换,可以得到以下形式:
其中上图的x代表向量[x1,x2,x3];
所以按照上述得输出网络得最后一层,可有:

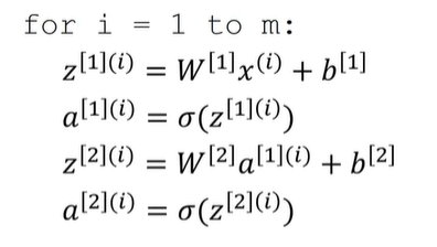
对于m个样本下的神经网络推导:


同样的,如果将m个样本,构成一个样本矩阵:

可以通过向量化来进行简便计算:

其中A[1]代表第一层的各个神经元节点的输出,也就作为下一层的输入;
因此,n层的迭代计算可以直接化简为n次矩阵乘积;
这里再补充一下关于W矩阵的问题:
W矩阵为一个层得多个节点参数构成,为m*n矩阵;
m代表该层节点个数,而n代表特征个数;
对于典型的一层情况,可以理解为下图:

后续得z矩阵得各列代表各个样本通过该层计算所得到的下一层的输入值,整个矩阵类似于下一层的输入值,作为新的X样本进行输入;
激活函数:
类似于sigmoid,对于计算值进行平滑操作,例如tanh函数;

sigmod一般用于二元分类,tanh效果大于sigmoid,但是Relu更加常用;
线性激活函数:
类似于不适用sigmoid这种变换函数,直接恒等或恒等+偏量;

如果一直在神经网络中使用线性函数,隐藏层等于没用,相当于直接就是一个大的W直接在更新;
非线性激活函数:
通过非线性激活函数可以得到某种目的,满足对于最终与测量的需求,例如回归预测,二值分类等;
神经网络中的梯度下降方法:
和单个神经元类似,只不过神经网络由于是多个神经节点项链,并且W是参数矩阵,略有些不同;
例如,对于双层单节点结构(这里需要注意的是单个节点输入是单参数,所以只有一个w):

上图代表两个神经元,分别作为两层,同样的,如果根据反向推导,可以得到:


如果单节点设计多参数,则w采用矩阵和向量表示,并且如果采用m个样本进行同一批训练:


浙公网安备 33010602011771号