基于无人机多光谱成像和深度学习进行水稻产量预测
及时进行作物产量预测对作物育种意义重大,既能保障粮食安全,又能优化种植策略与资源配置。2024年11月30日,由浙江省农业科学院数字农业研究所的周洪奎及其合作者发表在_Agricultural Systems_期刊上的题为_Yield prediction through UAV-based multispectral imaging and deep learning in rice breeding trials_的文章将基于无人机(UAV)的多光谱遥感图像与基于机器学习和深度学习的算法相结合,开发了跨多个品种的水稻产量预测模型。并对基于特征和基于图像的模型的性能进行了评估,以比较它们的能力并确定早期产量预测的适当时机(图1)。
图1,图形摘要
研究方法
作物产量预测的建模过程流程图见图4,由图像处理、特征提取以及建模与模型评估三部分构成。为全面评估多变量作物产量预测模型性能,设计了两个抽样方案。一是分层抽样,抽样方法见表3,依据每个类别中的品种数量,从各类别随机抽取三分之二的数据用于模型训练,剩余数据用于测试,最终有144个训练样本和72个测试样本,该抽样方式确保训练数据集样本更具代表性与平衡性。二是分组抽样,方法见表4,在六个类别中,随机选四个类别的样本用于训练,其余两个类别用于测试,对15种可能组合重复此过程并对模型误差求平均,目的是考察训练集和测试集品种不同时模型的性能。此外,运用随机森林(RF)、深度神经网络(DNN)和长短期记忆网络(LSTM)等机器学习算法进行产量预测,选取NDVI、GNDVI、EVI、NDRE、MSR_RE、CI_RE、NDYI和CH等8个指标作为自变量特征量,建立了产量预测模型。试验期间,共进行了10次飞行,涵盖了从拔节期到灌浆后期的时期。日期及相应的作物生长阶段见表1。
图4,产量预测建模流程图
研究结果
1.****分层抽样产量预测结果
1)单时预测
使用单时相遥感特征或图像获取RF、DNN和CNN模型预测结果,分层抽样见表5。结果显示,水稻产量预测在不同生育期差异显著,随着作物生长各模型预测准确性逐步提高。拔节至开花期(GS1-GS7)各模型误差较大,灌浆期(GS8-GS10)相对较小,拔节至开花期模型间预测误差无显著差异。灌浆期CNN模型表现良好,RRMSE误差低于10%,RF和DNN次之且表现相当。各模型不同生长阶段最佳结果散点图如图5,其中CNN模型利用灌浆期(GS8)图像数据实现最小预测误差(RRMSE为8.83%,R2为0.68)。
2)****多时相预测
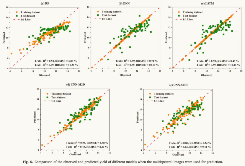
当将多时相遥感图像应用于产量预测时,能够通过预测探究作物在生长发育不同阶段的信息,以此提升模型的预测能力。在本研究中,积云连续生长季节图像被用于产量预测,其目的是充分利用当前时刻所有可用的图像数据,同时评估在收获前多久能够开展产量预测工作。RF、DNN、LSTM、CNN-M2D和CNN-M3D模型的良率预测结果见表6。与单时段产量预测类似,这些模型在拔节至开花期预测误差较大,之后逐渐减小。利用拔节至灌浆期的多时相图像,模型性能有所提升。各模型最佳结果的散点图如图6所示,结果显示,CNN模型的表现优于RF、DNN和LSTM模型。
2.****分组抽样产量预测结果
1)****单时预测
使用单时间遥感特征或图像和组采样实现的RF、DNN和CNN模型的误差度量见表7,RRMSE值代表15种组合的平均预测误差。结果模式类似分层抽样,随着作物生长,产量预测模型性能逐渐提升。在拔节至开花期,3种模型预测误差较大,其中CNN和DNN模型的预测误差大于RF模型。在灌浆期产量预测中,CNN模型表现优于RF和DNN。在不同生长阶段产量预测中,RF、DNN和CNN模型的最佳RRMSE结果分别为14.57%、16.88%和11.98%。与分层抽样的产量预测结果相比,采用分组抽样的产量预测误差更大。
2)****多时相预测
在组采样场景中,使用多时相遥感特征或图像获得的RF、DNN和CNN模型的误差如表8所示。当在组抽样中运用长时间序列数据时,各模型的产量预测误差均有所降低。不过,基于多时态信息的模型在准确性方面与单时态模型相似,且未超越单时态模型。RF、DNN、LSTM、CNN-M2D和CNN-M3D模型的最佳RRMSE结果依次为15.01%、16.23%、16.28%、12.16%和11.68%,其中CNN模型表现较好,CNN-M3D模型在所有模型中的误差最低。
3.****产量预测空间图
以上结果显示,在分层抽样场景下,基于多时相图像的CNN-M2D模型在所有模型中产量预测性能最佳,如图6(d)所示。该模型预测产量的空间分布呈现在图7中,图中左侧为观察到的产率,右侧为预测的产率。产量存在明显空间差异,即使是同一类别品种间也不例外。整体来看,CNN-M2D模型预测的产量与观测数据一致性良好,能有效捕捉产量的空间差异。
图7,基于CNN-M2 D模型的产量预测空间图将每个图分成两个图,左侧显示观察到的产量数据,右侧显示预测的产量数据
结论
(1)图像基深度学习模型(特别是多时相CNN模型)在水稻产量预测中表现出色,能够有效提取多时相图像中的复杂时空特征。
(2)分层采样方法在提高多品种产量预测精度方面优于分组采样。
(3)收获前约1个月是水稻产量预测的最佳时间,预测误差最低。
来源:作物功能表型研究
本文来自博客园,作者:生物信息与育种,转载请注明原文链接:https://www.cnblogs.com/miyuanbiotech/p/18845341。若要及时了解动态信息,请关注同名微信公众号:生物信息与育种。

浙公网安备 33010602011771号