第六讲-参数方程与极坐标
这里介绍了参数方程的引入原因,并介绍了不同曲线的直角坐标方程和参数方程的转化,以及另一种极坐标方程表示方法。
即表示方法不唯一,也没有最好,适当选择。
并介绍了圆锥曲线(抛物线、圆、椭圆、双曲线)的积坐标定义并推导成直角坐标形式。
曲线的参数方程
1. 参数方程概念
- 一元函数
的图形通常为平面曲(显式表示法)
- 平面上满足方程
的集合通常表示一条平面曲线(隐式方程、直角坐标方程)
竖直判别法
一元函数这种显式表示的函数图形需要满足竖直判别法:函数的图形与任何一条平行于y轴的直线不能有一个以上的交点.
通过竖直判别法,显然圆、笛卡尔叶形线或大多数的曲线都不符合要求,那么在后面涉及到复杂曲线计算时如何表示这样的平面曲线呢?既然一个方程不能够表示这样的平面曲线,那能不能用多个方程来表示平面曲线呢?这样由多个方程表示平面曲线的方程就是曲线参数方程
2. 直角坐标方程化为参数方程
- 直接将横坐标或者纵坐标作为参数
- 令
- 利用三角恒等式
- 由几何意义或者问题的实际背景

例 2. 求圆滚线的参数方程
- 关键点:
因为都是一个点跑过的路程
3. 常见的参数方程

例 3. 将曲线参数方程化为直角坐标方程
- 星形线性质: 星形线的切线介于坐标轴之间的线段是不变的. 这样的概念与圆滚线类似,与圆滚线在一条直线上运动不同,星形线则是通过一个小圆沿着更大的一个圆的内侧滚动滚动一周,此时圆上的一点同样也可以形成一条相应的曲线轨迹
极坐标与极坐标方程
1. 极坐标
- 直角坐标系与极坐标系的关系



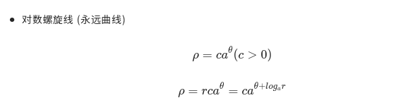
第二条方程是在第一条基础上乘以一个常数 r,通过变形,常系数变成了变量的指数。对原来的方程乘上一个常数,原来的方程所对应的曲线进行放大或者缩小,这样的变化过程通过方程的变形我们可以发现,原来角的起点变为了一个新的值,这意味着原来的方程所对应的曲线经过旋转后,可以让它和原来的曲线进行重合
性质: 将对数螺旋线做相似放大或缩小,均能与原曲线重合.
2. 曲线的极坐标表示
记住:p>0

圆锥曲线
圆锥曲线的几何定义

圆锥曲线的极坐标方程
