CF234G Practice
这道题其实挺难想的,我最开始想的是 \(n-1\) 的构造方式,再加上好损友的亿点提示(关键部分没听他的),接着是 \(\dfrac{n}{2}\) 的构造,最后才是正解 \(\lceil \log _2 n \rceil\)
题意
现在有 \(n\) 个人进行比赛(编号从 \(1\) 到 \(n\)),每次把这 \(n\) 个人不遗漏地分成两队进行比赛。
请构造一种比赛方式,使得比赛次数尽可能少,并且每两个人之间都在不同队比赛过。
思路
首先,最简单的思路就是,\(n-1\) 轮,每个人和其他没有和他比过赛的人比赛。
很明显,这不是最优的。
接着,考虑优化。(中间 \(\dfrac{n}{2}\) 的想法忘了咋搞了就不说了)
可以先让 \(n\) 个人分成两队比赛,然后对内再进行比赛,以此类推。
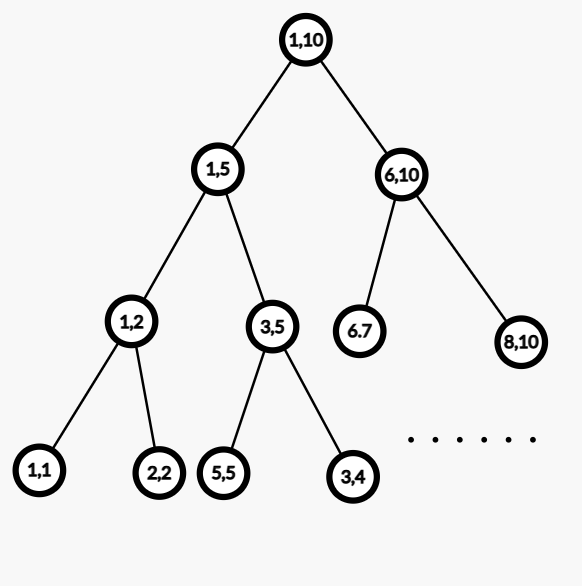
我们可以把比赛过程想象成一棵树。这里用 \(n=10\) 举例。

第一种情况可以这么分,那么第一场比赛就是 \([1,5]\) 和 \([6,10]\) 打。
接着,\([1,5]\) 和 \([6,10]\) 要在内部进行比赛。

那么,很关键的一步,\([1,2]\) 和 \([3,5]\) 要在内部打,\([6,7]\) 和 \([8,10]\) 要在内部打。那,我们可以将 \([1,2]\) 和 \([6,7]\) 分到一队,\([3,5]\) 和 \([8,10]\) 分到另一队,这时候,虽然有些人会重复打,但是我们把两场比赛合并为了一场,简化了操作数量。
也就是说,他们实际上各打各的,互不干扰,只不过名义上是一支队伍罢了。
接着继续分,我就不过于详细的解释了。

也就是说,我们可以构造一个长度为\(n\)的线段树,每次输出其叶子节点中的左节点即可。
在程序实现上,不需要真的构建出一个线段树,只需要维护其全部叶子节点即可。
代码
#include<bits/stdc++.h>
#define ll long long
using namespace std;
void FASTIN();
struct range
{
int l,r;
int root;//0 左节点 1 右节点
}f[1010],t[1010];
void play(int n)
{
int ans=0,cnt=0;
for(int i=1;i<=n;i++)
{
if(f[i].l==f[i].r) continue;
int mid=(f[i].l+f[i].r)>>1;//分成左右两个部分,也就是内部继续对打
cnt++;
t[cnt].l=f[i].l,t[cnt].r=mid,t[cnt].root=0;
cnt++;
t[cnt].l=mid+1,t[cnt].r=f[i].r,t[cnt].root=1;
ans+=mid-f[i].l+1;
}
for(int i=1;i<=cnt;i++) f[i]=t[i];cout<<endl;
cout<<ans<<" ";
bool flag=0;
for(int i=1;i<=cnt;i++)
{
if(!f[i].root)
{
for(int j=f[i].l;j<=f[i].r;j++) cout<<j<<" ";
}
if(f[i].l!=f[i].r) flag=1;
}
cout<<endl;
if(flag) play(cnt);
}
void run()
{
int n,ans=0;
cin>>n;
while((1<<ans)<n) ans++;
cout<<ans<<endl;
f[1].l=1,f[1].r=n;
play(1);
}
int main()
{
freopen("input.txt","r",stdin);
freopen("output.txt","w",stdout);
FASTIN();
int t=1;
// cin>>t;
while(t--) run();
system("pause");
return 0;
}
void FASTIN()
{
ios::sync_with_stdio(0);
cin.tie(0);cout.tie(0);
}

浙公网安备 33010602011771号