【对比学习】Causerec中的contrastive learning
在causerec这篇文章里面用到了contrastive learning的方法。
而contrastive learning是和generative method平行的用于自监督学习的另一种方法。
1. 方法:
将数据分成正样本与负样本在特征空间进行对比
2.难点:
构造正负样本
3.与generative method的区别:
contrastive learning是在特征空间对比,而generative是pixel-wise的对比。
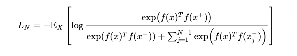
4.损失函数表达式

其中x+代表与x相似的正样本,x-代表负样本。训练目的是学到一个f,使其尽可能让x与x+在特征空间接近,而与x-很远,相关文献一般称该损失函数为infoNCE loss。

浙公网安备 33010602011771号