全部文章

2.R-CNN系列网络

学习目标

  • 了解Overfeat模型的移动窗口方法
  • 了解RCNN目标检测的思想
  • 了解fastRCNN目标检测的思想
  • 熟悉FasterRCNN目标检测的思想
  • 知道anchor的思想
  • 掌握RPN网络是如何进行候选区域的生成的
  • 掌握ROIPooling的使用方法
  • 知道fasterRCNN的训练方法

1.Overfeat模型

Overfeat方法使用滑动窗口进行目标检测,也就是使用滑动窗口和神经网络来检测目标。滑动窗口使用固定宽度和高度的矩形区域,在图像上“滑动”,并将扫描结果送入到神经网络中进行分类和回归。

例如要检测汽车,就使用下图中红色滑动窗口进行扫描,将所有的扫描结果送入网络中进行分类和回归,得到最终的汽车的检测结果。

这种方法类似一种暴力穷举的方式,会消耗大量的计算力,并且由于窗口大小问题可能会造成效果不准确。

2.RCNN模型

在CVPR 2014年中Ross Girshick提出R-CNN网络,该网络不在使用暴力穷举的方法,而是使用候选区域方法(region proposal method),创建目标检测的区域来完成目标检测的任务,R-CNN是以深度神经网络为基础的目标检测的模型 ,以R-CNN为基点,后续的Fast R-CNN、Faster R-CNN模型都延续了这种目标检测思路。

2.1 算法流程

RCNN的检测流程如下图所示:

步骤是:

  1. 候选区域:使用选择性搜索的方法找出图片中可能存在目标的侯选区域region proposal
  2. 网络选择:选取预训练卷积神经网网络(AlexNet)用于进行特征提取。
  3. 目标分类:训练支持向量机(SVM)来辨别目标物体和背景。对每个类别,都要训练一个二元SVM。
  4. 目标定位:训练一个线性回归模型,为每个辨识到的物体生成更精确的边界框

我们通过一个具体的例子来展示这个流程:

  • 选择一个图片进行目标检测:

  • 利用选择性搜索获取候选区域

  • 将这些候选区域进行变形,若是AlexNet将图片resize成227*227后送入到CNN网络中进行特征提取。

  • 将CNN网络提取的特征结果送入到SVM中进行分类:

  • 用线性回归的方法预测每个目标的边界框位置

这就是整个RCNN算法的流程。

【了解】选择性搜索(SelectiveSearch,SS)中,使用语义分割的方法,它通过在像素级的标注,把颜色、边界、纹理等信息作为合并条件,多尺度的综合采样方法,划分出一系列的区域,这些区域要远远少于传统的滑动窗口的穷举法产生的候选区域。

SelectiveSearch在一张图片上提取出来约2000个侯选区域,需要注意的是这些候选区域的长宽不固定。 而使用CNN提取候选区域的特征向量,需要接受固定长度的输入,所以需要对候选区域做一些尺寸上的修改。

2.2 算法总结

1、训练阶段多:步骤繁琐: 微调网络+训练SVM+训练边框回归器。

2、训练耗时:占用磁盘空间大:5000张图像产生几百G的特征文件。

3、处理速度慢: 使用GPU, VGG16模型处理一张图像需要47s

4、图片形状变化:候选区域要经过crop/warp进行固定大小,无法保证图片不变形

3. Fast RCNN模型

考虑到R-CNN速度很慢, 提出了一个改善模型:Fast R-CNN。 相比R-CNN, Fast R-CNN的优点在于加快了selective search的步骤和同时训练分类和回归过程, 从整体上加快了速度。

Fast R-CNN对R-CNN的改进部分:

  • 将R-CNN中三个模块(CNN, SVM, Regression)整合, 极大了减少了计算量和加快了速度

  • 不对原始图像进行selective search提取, 而是先经过一次CNN, 在feature map上使用selective search生成候选区域进行映射, 并进行分类回归

  • 为了兼容不同图片尺度, 使用了ROI Pooling 算法, 将特征图池化到固定维度的特征向量。

fastRCNN的工作流程描述如下:

  • 输入图像:

  • 图像被送入到卷积网络进行特征提取,将通过选择性搜索获取的候选区域映射到特征图中:

  • 在特征图上Rol中应用RoIPooling,获取尺寸相同的特征向量

  • 将这些区域传递到全连接的网络中进行分类和回归,得到目标检测的结果。

4.FasterRCNN模型

在R-CNN和Fast RCNN的基础上,Ross B. Girshick在2016年提出了Faster RCNN,在结构上,Faster RCNN已经将特征抽取(feature extraction),proposal提取,bounding box regression(rect refine),classification都整合在了一个网络中,使得综合性能有较大提高,在检测速度方面尤为明显。接下来我们给大家详细介绍fasterRCNN网络模型。网络基本结构如下图所示:

该网络主要可分为四部分:

  • Backbone:backbone由一组卷积神经网络构成,Faster RCNN首先使用一组基础的conv+relu+pooling层提取图像中的特征,获取图像的特征图featuremaps。该feature maps被共享用于后续RPN层和全连接层。
  • RPN网络:RPN网络用于生成候选区域region proposals。该部分通过softmax判断anchors属于positive或者negative,即是否包含目标,再利用bounding box regression修正anchors获得精确的proposals。
  • Roi Pooling: 该部分收集输入图像的feature maps和proposals,综合信息后提取proposal的特征向量,送入后续全连接层判定目标类别和确定目标位置。
  • Classifier: 该部分利用特征向量计算proposal的类别,并通过bounding box regression获得检测框最终的精确位置

将上述结构展开后如下所示,下图中特征提取网络是VGG16:

从上图中可以看出,对于一副任意大小PxQ的图像:

  • 首先将图像缩放至固定大小MxN,然后将MxN图像送入网络;

  • 而Conv layers中包含了13个conv层+13个relu层+4个pooling层,在这里使用VGG16网络进行特征提取,将最后的全连接层舍弃。在整个Conv layers中,conv和relu层不改变输入输出大小,只有pooling层使输出长宽都变为输入的½,一共有4个池化层,所以:

一个MxN大小的矩阵经过Conv layers固定变为(M/16)x(N/16);

  • RPN网络首先经过3x3卷积,再分别生成positive anchors和对应bounding box regression偏移量,然后计算出proposals;

  • 而Roi Pooling层则利用proposals从feature maps中提取proposal feature送入后续全连接网络中进行分类和回归。

接下来我们就从这四个方面来详细fasterRCNN网络并结合源码分析其实现过程。

4.1backbone

backbone一般为VGG,ResNet等网络构成,主要进行特征提取,将最后的全连接层舍弃,得到特征图进行后续处理。

在源码中我们使用ResNet + FPN 结构,来提取特征。普通的 FasterRCNN 只需要将 feature_map 输入到 rpn 网络生成 proposals 即可。但是由于加入 FPN,需要将多个 feature_map 逐个输入到 rpn 网络和检测网络中:

在这里ResNet和FPN的完整结构如下图所示,RPN输入的feature map是[p2,p3,p4,p5,p6] ,而作为后续目标检测网络FastRCNN的输入则是 [p2,p3,p4,p5] 。

那网络的整体架构表示成:

接下来我们分析下相关内容及源码:

4.1.1 ResNet

源码位置:fasterRCNN/detection/models/backbones/reset.py

1.瓶颈模块

要构建resnet网络首先构建瓶颈模块如下所示:

class _Bottleneck(tf.keras.Model):
    """
    瓶颈模块的实现
    """
    def __init__(self, filters, block, 
                 downsampling=False, stride=1, **kwargs):
        super(_Bottleneck, self).__init__(**kwargs)
        # 获取三个卷积的卷积核数量
        filters1, filters2, filters3 = filters
        # 卷积层命名方式
        conv_name_base = 'res' + block + '_branch'
        # BN层命名方式
        bn_name_base   = 'bn'  + block + '_branch'
        # 是否进行下采样
        self.downsampling = downsampling
        # 卷积步长
        self.stride = stride
        # 瓶颈模块输出的通道数
        self.out_channel = filters3
        # 1*1 卷积
        self.conv2a = layers.Conv2D(filters1, (1, 1), strides=(stride, stride),
                                    kernel_initializer='he_normal',
                                    name=conv_name_base + '2a')
        # BN层
        self.bn2a = layers.BatchNormalization(name=bn_name_base + '2a')
        # 3*3 卷积
        self.conv2b = layers.Conv2D(filters2, (3, 3), padding='same',
                                    kernel_initializer='he_normal',
                                    name=conv_name_base + '2b')
        # BN层
        self.bn2b = layers.BatchNormalization(name=bn_name_base + '2b')
        # 1*1卷积
        self.conv2c = layers.Conv2D(filters3, (1, 1),
                                    kernel_initializer='he_normal',
                                    name=conv_name_base + '2c')
        # BN层
        self.bn2c = layers.BatchNormalization(name=bn_name_base + '2c')
        # 下采样
        if self.downsampling:
            # 在短连接处进行下采样
            self.conv_shortcut = layers.Conv2D(filters3, (1, 1), strides=(stride, stride),
                                               kernel_initializer='he_normal',
                                               name=conv_name_base + '1')
            # BN层
            self.bn_shortcut = layers.BatchNormalization(name=bn_name_base + '1')

    def call(self, inputs, training=False):
        """
        定义前向传播过程
        :param inputs:
        :param training:
        :return:
        """
        # 第一组卷积+BN+Relu
        x = self.conv2a(inputs)
        x = self.bn2a(x, training=training)
        x = tf.nn.relu(x)
        # 第二组卷积+BN+Relu
        x = self.conv2b(x)
        x = self.bn2b(x, training=training)
        x = tf.nn.relu(x)
        # 第三组卷积+BN
        x = self.conv2c(x)
        x = self.bn2c(x, training=training)
        # 短连接
        if self.downsampling:
            shortcut = self.conv_shortcut(inputs)
            shortcut = self.bn_shortcut(shortcut, training=training)
        else:
            shortcut = inputs
        # 相加求和
        x += shortcut
        # 激活
        x = tf.nn.relu(x)
        # 最终输出
        return x
2. resnet

利用瓶颈模块构建backbone中的resNet.

class ResNet(tf.keras.Model):
    "构建50或101层的resnet网络"
    def __init__(self, depth, **kwargs):
        super(ResNet, self).__init__(**kwargs)
        # 若深度不是50或101报错
        if depth not in [50, 101]:
            raise AssertionError('depth must be 50 or 101.')
        self.depth = depth
        # padding 
        self.padding = layers.ZeroPadding2D((3, 3))
        # 输入的卷积
        self.conv1 = layers.Conv2D(64, (7, 7),
                                   strides=(2, 2),
                                   kernel_initializer='he_normal',
                                   name='conv1')
        # BN层
        self.bn_conv1 = layers.BatchNormalization(name='bn_conv1')
        # maxpooling
        self.max_pool = layers.MaxPooling2D((3, 3), strides=(2, 2), padding='same')
        # 第一组瓶颈模块
        self.res2a = _Bottleneck([64, 64, 256], block='2a',
                                 downsampling=True, stride=1)
        self.res2b = _Bottleneck([64, 64, 256], block='2b')
        self.res2c = _Bottleneck([64, 64, 256], block='2c')
        # 第二组瓶颈模块:首个进行下采样
        self.res3a = _Bottleneck([128, 128, 512], block='3a', 
                                 downsampling=True, stride=2)
        self.res3b = _Bottleneck([128, 128, 512], block='3b')
        self.res3c = _Bottleneck([128, 128, 512], block='3c')
        self.res3d = _Bottleneck([128, 128, 512], block='3d')
        # 第三组瓶颈模块:首个进行下采样
        self.res4a = _Bottleneck([256, 256, 1024], block='4a', 
                                 downsampling=True, stride=2)
        self.res4b = _Bottleneck([256, 256, 1024], block='4b')
        self.res4c = _Bottleneck([256, 256, 1024], block='4c')
        self.res4d = _Bottleneck([256, 256, 1024], block='4d')
        self.res4e = _Bottleneck([256, 256, 1024], block='4e')
        self.res4f = _Bottleneck([256, 256, 1024], block='4f')
        # 若深度为101还需进行瓶颈模块的串联
        if self.depth == 101:
            self.res4g = _Bottleneck([256, 256, 1024], block='4g')
            self.res4h = _Bottleneck([256, 256, 1024], block='4h')
            self.res4i = _Bottleneck([256, 256, 1024], block='4i')
            self.res4j = _Bottleneck([256, 256, 1024], block='4j')
            self.res4k = _Bottleneck([256, 256, 1024], block='4k')
            self.res4l = _Bottleneck([256, 256, 1024], block='4l')
            self.res4m = _Bottleneck([256, 256, 1024], block='4m')
            self.res4n = _Bottleneck([256, 256, 1024], block='4n')
            self.res4o = _Bottleneck([256, 256, 1024], block='4o')
            self.res4p = _Bottleneck([256, 256, 1024], block='4p')
            self.res4q = _Bottleneck([256, 256, 1024], block='4q')
            self.res4r = _Bottleneck([256, 256, 1024], block='4r')
            self.res4s = _Bottleneck([256, 256, 1024], block='4s')
            self.res4t = _Bottleneck([256, 256, 1024], block='4t')
            self.res4u = _Bottleneck([256, 256, 1024], block='4u')
            self.res4v = _Bottleneck([256, 256, 1024], block='4v')
            self.res4w = _Bottleneck([256, 256, 1024], block='4w') 
        # 第四组瓶颈模块:首个进行下采样
        self.res5a = _Bottleneck([512, 512, 2048], block='5a', 
                                 downsampling=True, stride=2)
        self.res5b = _Bottleneck([512, 512, 2048], block='5b')
        self.res5c = _Bottleneck([512, 512, 2048], block='5c')
        # 输出通道数:C2,C3,C4,C5的输出通道数
        self.out_channel = (256, 512, 1024, 2048)

    def call(self, inputs, training=True):
        "定义前向传播过程,每组瓶颈模块均输出结果"
        x = self.padding(inputs)
        x = self.conv1(x)
        x = self.bn_conv1(x, training=training)
        x = tf.nn.relu(x)
        x = self.max_pool(x)
        # 第1组瓶颈模块:输出c2
        x = self.res2a(x, training=training)
        x = self.res2b(x, training=training)
        C2 = x = self.res2c(x, training=training)
        # 第2组瓶颈模块:输出c3
        x = self.res3a(x, training=training)
        x = self.res3b(x, training=training)
        x = self.res3c(x, training=training)
        C3 = x = self.res3d(x, training=training)
        # 第3组瓶颈模块:输出c4
        x = self.res4a(x, training=training)
        x = self.res4b(x, training=training)
        x = self.res4c(x, training=training)
        x = self.res4d(x, training=training)
        x = self.res4e(x, training=training)
        x = self.res4f(x, training=training)
        if self.depth == 101:
            x = self.res4g(x, training=training)
            x = self.res4h(x, training=training)
            x = self.res4i(x, training=training)
            x = self.res4j(x, training=training)
            x = self.res4k(x, training=training)
            x = self.res4l(x, training=training)
            x = self.res4m(x, training=training)
            x = self.res4n(x, training=training)
            x = self.res4o(x, training=training)
            x = self.res4p(x, training=training)
            x = self.res4q(x, training=training)
            x = self.res4r(x, training=training)
            x = self.res4s(x, training=training)
            x = self.res4t(x, training=training)
            x = self.res4u(x, training=training)
            x = self.res4v(x, training=training)
            x = self.res4w(x, training=training) 
        C4 = x
        # 第4组瓶颈模块:输出c5
        x = self.res5a(x, training=training)
        x = self.res5b(x, training=training)
        C5 = x = self.res5c(x, training=training)
        # 返回所有的输出送入到fpn中
        return (C2, C3, C4, C5)

4.1.2 fpn

FPN的作用是当前层的feature map会对未来层的feature map进行上采样,并加以利用。因为有了这样一个结构,当前的feature map就可以获得“未来”层的信息,这样的话低阶特征与高阶特征就有机融合起来了,提升检测精度。如下图所示:

整个架构中的结构如下图所示:

源码位置:fasterRCNN/detection/models/necks/fpn.py

class FPN(tf.keras.Model):

    def __init__(self, out_channels=256, **kwargs):
        '''
        构建FPN模块:
        out_channels:是输出特征图的通道数
        '''
        super(FPN, self).__init__(**kwargs)
        # 输出通道数
        self.out_channels = out_channels
        # 使用1*1卷积对每个输入的特征图进行通道数调整
        self.fpn_c2p2 = layers.Conv2D(out_channels, (1, 1),
                                      kernel_initializer='he_normal', name='fpn_c2p2')
        self.fpn_c3p3 = layers.Conv2D(out_channels, (1, 1),
                                      kernel_initializer='he_normal', name='fpn_c3p3')
        self.fpn_c4p4 = layers.Conv2D(out_channels, (1, 1),
                                      kernel_initializer='he_normal', name='fpn_c4p4')
        self.fpn_c5p5 = layers.Conv2D(out_channels, (1, 1),
                                      kernel_initializer='he_normal', name='fpn_c5p5')
        # 对深层的特征图进行上采样,使其与前一层的大小相同
        self.fpn_p3upsampled = layers.UpSampling2D(size=(2, 2), name='fpn_p3upsampled')
        self.fpn_p4upsampled = layers.UpSampling2D(size=(2, 2), name='fpn_p4upsampled')
        self.fpn_p5upsampled = layers.UpSampling2D(size=(2, 2), name='fpn_p5upsampled')
        # 3*3卷积,作用于融合后的特征图中得到最终的结果
        self.fpn_p2 = layers.Conv2D(out_channels, (3, 3), padding='SAME',
                                    kernel_initializer='he_normal', name='fpn_p2')
        self.fpn_p3 = layers.Conv2D(out_channels, (3, 3), padding='SAME',
                                    kernel_initializer='he_normal', name='fpn_p3')
        self.fpn_p4 = layers.Conv2D(out_channels, (3, 3), padding='SAME',
                                    kernel_initializer='he_normal', name='fpn_p4')
        self.fpn_p5 = layers.Conv2D(out_channels, (3, 3), padding='SAME',
                                    kernel_initializer='he_normal', name='fpn_p5')
        # 对上一层的特征图进行下采样得到结果
        self.fpn_p6 = layers.MaxPooling2D(pool_size=(1, 1), strides=2, name='fpn_p6')

    def call(self, inputs, training=True):
        # 定义前向传播过程
        # 获取从resnet中得到的4个特征图
        C2, C3, C4, C5 = inputs
        # 对这些特征图进行1*1卷积和上采样后进行融合
        P5 = self.fpn_c5p5(C5)
        P4 = self.fpn_c4p4(C4) + self.fpn_p5upsampled(P5)
        P3 = self.fpn_c3p3(C3) + self.fpn_p4upsampled(P4)
        P2 = self.fpn_c2p2(C2) + self.fpn_p3upsampled(P3)
        # 对融合后的特征图进行3*3卷积,得到最终的结果
        P2 = self.fpn_p2(P2)
        P3 = self.fpn_p3(P3)
        P4 = self.fpn_p4(P4)
        P5 = self.fpn_p5(P5)
        # 对p5进行下采样得到p6特征图
        P6 = self.fpn_p6(P5)
        # 返回最终的结果
        return [P2, P3, P4, P5, P6]

4.2 RPN网络

经典的检测方法生成检测框都非常耗时,如OpenCV adaboost使用滑动窗口+图像金字塔生成检测框;或如R-CNN使用选择性搜索方法生成检测框。而Faster RCNN则抛弃了传统的滑动窗口和SS方法,直接使用RPN生成候选区域,能极大提升检测速度。

RPN网络分为两部分,一部分是通过softmax分类判断anchor中是否包含目标,另一部分用于计算对于anchors的偏移量,以获得精确的候选区域。而最后的Proposal层则负责综合含有目标的anchors和对应bbox回归偏移量获取候选区域,同时剔除太小和超出边界的候选区域。

4.2.1 anchors

anchor在目标检测中表示 固定的参考框 ,首先预设一组不同尺度不同长宽比的固定参考框,覆盖几乎所有位置, 每个参考框负责检测与其交并比大于阈值 (训练预设值,常用0.5或0.7) 的目标 ,anchor技术将检测问题转换为 "这个固定参考框中有没有目标,目标框偏离参考框多远" ,不再需要多尺度遍历滑窗,真正实现了又好又快。

在fasterRCNN中框出多尺度、多种长宽比的anchors,多种尺度,每个特征图中的像素点多个框。如下图所示:

由于有 FPN 网络,所以会在多个特征图中生成anchor,假设某一个特征图大小为hxw,首先会计算这个特征相对于输入图像的下采样倍数 stride:

如下图所示:

在这里每一个特征图对应一个尺度的anchor。

源码中anchor的生成方法:fasterRCNN/detection/core/anchor/anchor_generator.py

主要方法是:

  • _generate_level_anchors:通过广播的方法生成每一个特征图的anchorbox
  • _generate_valid_flags:标记真实图像中的anchor
  • generate_pyramid_anchors:调用上述两个方法完成图像的anchor的生成
class AnchorGenerator:
    def __init__(self, 
                 scales=(32, 64, 128, 256, 512), 
                 ratios=(0.5, 1, 2), 
                 feature_strides=(4, 8, 16, 32, 64)):
        '''
        初始化anchor
        '''
        # scales: 生成的anchor的尺度
        self.scales = scales
        # ratios: anchor的长宽比
        self.ratios = ratios
        # feature_strides: 因为fpn生成了五种特征图,在每一个特征图上移动一个位置相当于原图的大小
        self.feature_strides = feature_strides

    def generate_pyramid_anchors(self, img_metas):
        '''
        生成anchor

        参数:
            img_metas: [batch_size, 11],图像的信息,包括原始图像的大小,resize的大小和输入到网络中图像的大小

        返回:
            anchors: [num_anchors, (y1, x1, y2, x2)] anchor的坐标,在原图像中的坐标
            valid_flags: [batch_size, num_anchors] 是否为空的标志
        '''
        # 获取输入到网络中图像的大小:[1216, 1216]
        pad_shape = calc_batch_padded_shape(img_metas)
        # 获取图像的每一个特征图的大小:[(304, 304), (152, 152), (76, 76), (38, 38), (19, 19)]
        feature_shapes = [(pad_shape[0] // stride, pad_shape[1] // stride)
                          for stride in self.feature_strides]
        # 生成每一个特征图上anchor的位置信息: [277248, 4], [69312, 4], [17328, 4], [4332, 4], [1083, 4]
        anchors = [
            self._generate_level_anchors(level, feature_shape)
            for level, feature_shape in enumerate(feature_shapes)
        ]
        # 将所有的anchor串联在一个列表中:[369303, 4]
        anchors = tf.concat(anchors, axis=0)

        # 获取图像非0位置的大小:(800, 1067)
        img_shapes = calc_img_shapes(img_metas)
        # 获取anchor的非零标识
        valid_flags = [
            self._generate_valid_flags(anchors, img_shapes[i])
            for i in range(img_shapes.shape[0])
        ]
        # 堆叠为一个一维向量
        valid_flags = tf.stack(valid_flags, axis=0)
        # 停止梯度计算
        anchors = tf.stop_gradient(anchors)
        valid_flags = tf.stop_gradient(valid_flags)
        # 返回anchor和对应非零标志
        return anchors, valid_flags

    def _generate_valid_flags(self, anchors, img_shape):
        '''
        移除padding位置的anchor
        参数:
            anchors: [num_anchors, (y1, x1, y2, x2)] 所有的anchor
            img_shape: Tuple. (height, width, channels) 非0像素点的图像的大小
        返回:
            valid_flags: [num_anchors] 返回非0位置的anchor
        '''
        # 计算所有anchor的中心点坐标:[369300]
        y_center = (anchors[:, 2] + anchors[:, 0]) / 2
        x_center = (anchors[:, 3] + anchors[:, 1]) / 2
        # 初始化flags为全1数组:[369300]
        valid_flags = tf.ones(anchors.shape[0], dtype=tf.int32)
        # 初始化相同大小的全0数组
        zeros = tf.zeros(anchors.shape[0], dtype=tf.int32)
        # 将anchor中心点在非0区域的置为1,其他置为0
        valid_flags = tf.where(y_center <= img_shape[0], valid_flags, zeros)
        valid_flags = tf.where(x_center <= img_shape[1], valid_flags, zeros)
        # 返回标志结果
        return valid_flags

    def _generate_level_anchors(self, level, feature_shape):
        '''生成fpn输出的某一个特征图的anchor

        参数:
            feature_shape: (height, width) 特征图大小

        返回:
            numpy.ndarray [anchors_num, (y1, x1, y2, x2)]:生成的anchor结果
        '''
        # 获取对应的尺度
        scale = self.scales[level]
        # 获取长宽比
        ratios = self.ratios
        # 获取对应步长
        feature_stride = self.feature_strides[level]

        # 获取不同长宽比下的scale
        scales, ratios = tf.meshgrid([float(scale)], ratios)
        # 尺度 [32, 32, 32]
        scales = tf.reshape(scales, [-1])
        # 长宽比 [0.5, 1, 2]
        ratios = tf.reshape(ratios, [-1])

        # 获取不同宽高比情况下的H和w
        # [45, 32, 22]
        heights = scales / tf.sqrt(ratios)
        # [22, 32, 45]
        widths = scales * tf.sqrt(ratios)

        # 获取生成anchor对应的位置,假设步长为4时的结果: [0, 4, ..., 1216-4]
        shifts_y = tf.multiply(tf.range(feature_shape[0]), feature_stride)
        shifts_x = tf.multiply(tf.range(feature_shape[1]), feature_stride)
        # 类型转换
        shifts_x, shifts_y = tf.cast(shifts_x, tf.float32), tf.cast(shifts_y, tf.float32)
        # 获取在图像中生成anchor的位置
        shifts_x, shifts_y = tf.meshgrid(shifts_x, shifts_y)

        # 将宽高分别相对于x,y进行广播, 得到宽高和中心点坐标
        box_widths, box_centers_x = tf.meshgrid(widths, shifts_x)
        box_heights, box_centers_y = tf.meshgrid(heights, shifts_y)

        # 进行reshape得到anchor的中心点坐标和宽高
        box_centers = tf.reshape(tf.stack([box_centers_y, box_centers_x], axis=2), (-1, 2))
        box_sizes = tf.reshape(tf.stack([box_heights, box_widths], axis=2), (-1, 2))

        # 拼接成一维向量,并以左上角和右下角坐标的形式表示 [304x304, 3, 4] => [277448, 4]
        boxes = tf.concat([box_centers - 0.5 * box_sizes,
                           box_centers + 0.5 * box_sizes], axis=1)
        # 返回最终的anchorbox
        return boxes

那这些anchors是如何使用的呢?对于Conv layers特征提取得到的feature maps,为每一个点都分配这k个anchors作为初始的参考框,送入到softmax和全连接层中进行分类和回归,也就是一个二分类过程,判断anchor中是否包含目标,并对anchors进行修正。

4.2.2 RPN分类

一副MxN大小的矩阵送入Faster RCNN网络后,经过backbone特征提取到RPN网络变为HxW大小的特征图。如下图所示,是RPN进行分类的网络结构:(k=9)

先做一个1x1的卷积,得到[batchsize,H,W,18]的特征图,然后进行reshape,将特征图转换为[batchsize,9xH,W,2]的特征图后,送入softmax中进行分类,得到分类结果后,再进行reshape最终得到[batchsize,H,W,18]大小的结果,18表示k=9个anchor是否包含目标的概率值。

4.2.3 RPN回归

RPN回归的结构如下图所示:(k=9)

经过该卷积输出特征图为为[1, H, W,4x9],这里相当于feature maps每个点都有9个anchors,每个anchors又都有4个用于回归的:

变换量。

该变换量预测的是anchor与真实值之间的平移量和尺度因子:

坐标变换的源码为:fasterRCNN/detection/core/bbox/transforms.py

def bbox2delta(box, gt_box, target_means, target_stds):
    '''计算box到gtbox的修正值.
    参数

        box: [..., (y1, x1, y2, x2)] : 要修正的box
        gt_box: [..., (y1, x1, y2, x2)] : GT值
        target_means: [4] :均值
        target_stds: [4]:方差
    '''
    # 转化为tensor
    target_means = tf.constant(
        target_means, dtype=tf.float32)
    target_stds = tf.constant(
        target_stds, dtype=tf.float32)
    # 类型转换
    box = tf.cast(box, tf.float32)
    gt_box = tf.cast(gt_box, tf.float32)
    # 获取box的中心点坐标和宽高
    height = box[..., 2] - box[..., 0]
    width = box[..., 3] - box[..., 1]
    center_y = box[..., 0] + 0.5 * height
    center_x = box[..., 1] + 0.5 * width
    # 获取Gtbox的中心点坐标和宽高
    gt_height = gt_box[..., 2] - gt_box[..., 0]
    gt_width = gt_box[..., 3] - gt_box[..., 1]
    gt_center_y = gt_box[..., 0] + 0.5 * gt_height
    gt_center_x = gt_box[..., 1] + 0.5 * gt_width
    # 计算两者之间的平移值和尺度变换
    dy = (gt_center_y - center_y) / height
    dx = (gt_center_x - center_x) / width
    dh = tf.math.log(gt_height / height)
    dw = tf.math.log(gt_width / width)
    # 组成一维向量
    delta = tf.stack([dy, dx, dh, dw], axis=-1)
    # 标准化
    delta = (delta - target_means) / target_stds
    # 返回结果
    return delta

RPN的分类和回归的源码如下:fasterRCNN/detection/models/rpn_heads/rpn_head.py

class RPNHead(tf.keras.Model):
    """
    完成RPN网络中的相关操作
    """

    def __init__(self, 
                 anchor_scales=(32, 64, 128, 256, 512), 
                 anchor_ratios=(0.5, 1, 2), 
                 anchor_feature_strides=(4, 8, 16, 32, 64),
                 proposal_count=2000, 
                 nms_threshold=0.7, 
                 target_means=(0., 0., 0., 0.), 
                 target_stds=(0.1, 0.1, 0.2, 0.2), 
                 num_rpn_deltas=256,
                 positive_fraction=0.5,
                 pos_iou_thr=0.7,
                 neg_iou_thr=0.3,
                 **kwags):
        '''
        RPN网络结构,如下所示:

                                      / - rpn_cls 分类(1x1 conv)
        输入 - rpn_conv 卷积(3x3 conv) -
                                      \ - rpn_reg 回归(1x1 conv)

        参数
            anchor_scales: anchorbox的面积,相对于原图像像素的
            anchor_ratios: anchorbox的长宽比
            anchor_feature_strides: 生成anchor的步长,相对于原图像素的
            proposal_count:RPN最后生成的候选区域的个数,经过非极大值抑制
            nms_threshold: 对RPN生成的候选区域进行NMS的参数阈值
            target_means: [4] Bounding box refinement mean.
            target_stds: [4] Bounding box refinement standard deviation.
            num_rpn_deltas: int.
            positive_fraction: float.
            pos_iou_thr: 与GT的IOU大于该值的anchor为正例
            neg_iou_thr: 与GT的IOU小于该值的anchor为负例
        '''
        super(RPNHead, self).__init__(**kwags)
        # 参数初始化
        # RPN最后生成的候选区域的个数,经过非极大值抑制
        self.proposal_count = proposal_count
        # 对RPN生成的候选区域进行NMS的参数阈值
        self.nms_threshold = nms_threshold
        self.target_means = target_means
        self.target_stds = target_stds
        # 调用anchor生成器生成对应的anchor
        self.generator = anchor_generator.AnchorGenerator(
            scales=anchor_scales, 
            ratios=anchor_ratios, 
            feature_strides=anchor_feature_strides)
        # 将anchor划分为正负样本
        self.anchor_target = anchor_target.AnchorTarget(
            target_means=target_means, 
            target_stds=target_stds,
            num_rpn_deltas=num_rpn_deltas,
            positive_fraction=positive_fraction,
            pos_iou_thr=pos_iou_thr,
            neg_iou_thr=neg_iou_thr)
        # 设置RPN网络的分类和回归损失
        self.rpn_class_loss = losses.rpn_class_loss
        self.rpn_bbox_loss = losses.rpn_bbox_loss


        # 3*3卷积
        self.rpn_conv_shared = layers.Conv2D(512, (3, 3), padding='same',
                                             kernel_initializer='he_normal', 
                                             name='rpn_conv_shared')
        # 1*1卷积 分类 每一个anchor分为2类
        self.rpn_class_raw = layers.Conv2D(len(anchor_ratios) * 2, (1, 1),
                                           kernel_initializer='he_normal', 
                                           name='rpn_class_raw')
        # 1*1卷积 回归 每一个anchor的回归结果
        self.rpn_delta_pred = layers.Conv2D(len(anchor_ratios) * 4, (1, 1),
                                           kernel_initializer='he_normal', 
                                           name='rpn_bbox_pred')

    def call(self, inputs, training=True):
        '''
        定义前向传播过程
        参数:
            inputs: [batch_size, feat_map_height, feat_map_width, channels] 
                FPN输出的一个特征图

        返回:
            rpn_class_logits: [batch_size, num_anchors, 2] 分类结果,以logits表示
            rpn_probs: [batch_size, num_anchors, 2] 分类结果,经softmax之后的概率表示形式
            rpn_deltas: [batch_size, num_anchors, 4] 回归结果,anchor的位置信息
        '''
        # 输出结果
        layer_outputs = []
        # 遍历输入中的每一特征图
        for feat in inputs:
            # 3*3 卷积,假设特征图大小为:(1, 304, 304, 256)
            shared = self.rpn_conv_shared(feat)
            # 激活:(1, 304, 304, 256)
            shared = tf.nn.relu(shared)

            # 分类过程
            # 1*1卷积:输出大小为(1, 304, 304, 6)
            x = self.rpn_class_raw(shared)
            # reshape:(1, 277248, 2)
            rpn_class_logits = tf.reshape(x, [tf.shape(x)[0], -1, 2])
            # softmax进行分类:(1, 277248, 2),一共有277248个anchor,每个anchor有2个分类结果
            rpn_probs = tf.nn.softmax(rpn_class_logits)

            # 回归过程
            # 1*1 卷积,输出大小为(1, 304, 304, 12)
            x = self.rpn_delta_pred(shared)
            # reshape:(1, 277248, 4),一共有277248个anchor,每个anchor有4个位置信息
            rpn_deltas = tf.reshape(x, [tf.shape(x)[0], -1, 4])

            # 将网络的分类和输出结果存放在layer_outputs
            layer_outputs.append([rpn_class_logits, rpn_probs, rpn_deltas])
            # 每一次迭代输出结果的大小为:
            """
            (1, 277248, 2) (1, 277248, 2) (1, 277248, 4)
            (1, 69312, 2) (1, 69312, 2) (1, 69312, 4)
            (1, 17328, 2) (1, 17328, 2) (1, 17328, 4)
            (1, 4332, 2) (1, 4332, 2) (1, 4332, 4)
            (1, 1083, 2) (1, 1083, 2) (1, 1083, 4)

            """

        # 将输出结果转换为列表
        outputs = list(zip(*layer_outputs))
        # 遍历输出,将不同特征图中同一类别的输出结果串联在一起
        outputs = [tf.concat(list(o), axis=1) for o in outputs]
        # 获取每一种输出:5个特征图的输出大小为:(1, 369303, 2) (1, 369303, 2) (1, 369303, 4)
        rpn_class_logits, rpn_probs, rpn_deltas = outputs

        # 返回输出结果
        return rpn_class_logits, rpn_probs, rpn_deltas

4.2.4 Proposal Layer

Proposal Layer负责综合所有 [公式] 变换量和包含目标的anchors,计算出候选区域proposal,送入后续RoI Pooling Layer。

Proposal Layer有3个输入:anchors分类器结果,对应的bbox reg的 [公式] 变换量,以及im_info;另外还有参数feat_stride,用于计算anchor的步长。

Proposal Layer 完成以下处理:

  1. 生成anchors,利用[公式]对所有的anchors做bbox regression回归
  2. 按照输入的positive softmax scores由大到小排序anchors,提取前pre_nms_topN(e.g. 6000)个anchors,即提取修正位置后的positive anchors
  3. 限定超出图像边界的positive anchors为图像边界,防止后续roi pooling时proposal超出图像边界。

  1. 剔除尺寸非常小的positive anchors

  2. 对剩余的positive anchors进行NMS(nonmaximum suppression)

  3. Proposal Layer的输出是对应MxN输入图像尺度的坐标值[x1, y1, x2, y2]。

到此RPN网络的工作就结束了。

该部分的源码在:fasterRCNN/detection/models/rpn_heads/rpn_head.py

 def _get_proposals_single(self, 
                              rpn_probs, 
                              rpn_deltas, 
                              anchors, 
                              valid_flags, 
                              img_shape, 
                              with_probs):
        '''
        计算候选区域结果

        参数:
            rpn_probs: [num_anchors] anchor是目标的概率值
            rpn_deltas: [num_anchors, (dy, dx, log(dh), log(dw))] 回归得到的位置信息,对anchor进行修正
            anchors: [num_anchors, (y1, x1, y2, x2)] anchor的位置
            valid_flags: [num_anchors] anchor属于图像位置的标记信息
            img_shape: np.ndarray. [2]. (img_height, img_width) 图像的大小
            with_probs: bool. 是否输出分类结果

        返回
            proposals:  返回候选区域的列表
            若with_probs = False,则返回:[num_proposals, (y1, x1, y2, x2)]
                若with_probs = True,则返回:[num_proposals, (y1, x1, y2, x2, score)]
                在这里num_proposals不会大于proposal_count
        '''
        # 图像的高宽
        H, W = img_shape

        # 将anchor的标记信息转换为布尔型, int => bool
        valid_flags = tf.cast(valid_flags, tf.bool)
        # 将无用的anchor过滤 ,并对分类和回归结果进行处理[369303] => [215169], respectively
        rpn_probs = tf.boolean_mask(rpn_probs, valid_flags)
        rpn_deltas = tf.boolean_mask(rpn_deltas, valid_flags)
        anchors = tf.boolean_mask(anchors, valid_flags)

        # 至多6000个结果会进行后续操作 min(6000, 215169) => 6000
        pre_nms_limit = min(6000, anchors.shape[0])
        # 获取至多6000个分类概率最高的anchor的索引
        ix = tf.nn.top_k(rpn_probs, pre_nms_limit, sorted=True).indices
        # 根据得到的索引值获取对应的分类,回归和anchor [215169] => [6000]
        rpn_probs = tf.gather(rpn_probs, ix)
        rpn_deltas = tf.gather(rpn_deltas, ix)
        anchors = tf.gather(anchors, ix)

        # 利用回归得到的结果对anchor进行修正,  [6000, 4]
        proposals = transforms.delta2bbox(anchors, rpn_deltas, 
                                          self.target_means, self.target_stds)
        # 若修正后的结果超出图像范围则进行裁剪, [6000, 4]
        window = tf.constant([0., 0., H, W], dtype=tf.float32)
        proposals = transforms.bbox_clip(proposals, window)

        # 对坐标值进行归一化, (y1, x1, y2, x2)
        proposals = proposals / tf.constant([H, W, H, W], dtype=tf.float32)

        # 进行NMS,获取最终大概2000个候选区域: [2000]
        indices = tf.image.non_max_suppression(
            proposals, rpn_probs, self.proposal_count, self.nms_threshold)
        proposals = tf.gather(proposals, indices) # [2000, 4]
        # 若要返回分类结果,则获取对应的分类值进行返回
        if with_probs:
            proposal_probs = tf.expand_dims(tf.gather(rpn_probs, indices), axis=1)
            proposals = tf.concat([proposals, proposal_probs], axis=1)
        # 返回候选区域
        return proposals

4.3 ROIPooling

RoI Pooling层则负责收集proposal,并计算出 feature maps的候选区域,送入后续网络。

从网络架构中可以看出Rol pooling层有2个输入:

  1. CNN提取的feature maps
  2. RPN输出的候选区域proposal boxes(大小各不相同)

RoIpooling使用最大池化将任何有效的RoI区域内的特征转换成具有pool_H×pool_W的固定空间范围的小feature map,其中pool_H和pool_W是超参数,比如设置为7x7, 它们独立于任何特定的RoI,如下图所示21·

RoI Pooling 的作用过程,如下图所示:

  • 由于RPN网络输出的proposal是对应MxN尺度的,所以首先使用spatial_scale参数将其映射回特征提取后(HxW)大小的feature map尺度;
  • 再将每个proposal对应的feature map区域水平分为 [公式] 的网格;
  • 对网格的每一份都进行max pooling处理。

这样处理后,即使大小不同的proposal输出结果都是 [公式] 固定大小,实现了固定长度输出,送入后续网络中进行处理。

在实现过程中,FPN网络产生了多个尺度特征图,那候选区域要映射到哪个特征图中呢?

在这里,不同尺度的ROI使用不同特征层作为ROI pooling层的输入,大尺度ROI就用后面一些的金字塔层,比如P5;小尺度ROI就用前面一点的特征层,比如P3,我们使用下面的公式确定ROI所在的特征层:

其中,224是ImageNet的标准输入,k0是基准值,设置为4,w和h是ROI区域的长和宽,假设ROI是112x112的大小,那么k = k0-1 = 4-1 = 3,意味着该ROI应该使用P3的特征层。k值会做取整处理,防止结果不是整数,而且为了保证k值在2-5之间,还会做截断处理。

源码在:fasterRCNN/detection/models/roi_extractors/roi_align.py

class PyramidROIAlign(tf.keras.layers.Layer):

    def __init__(self, pool_shape, **kwargs):
        '''
        在多个特征图上完成ROIPooling

        参数:
            pool_shape: (height, width)指明pooling之后输出的大小
        '''
        super(PyramidROIAlign, self).__init__(**kwargs)

        self.pool_shape = tuple(pool_shape)

    def call(self, inputs, training=True):

        # 获取输入中的roi区域,特征图和图像的元信息
        rois_list, feature_map_list, img_metas = inputs
        # 获取输入图像的大小
        pad_shapes = calc_pad_shapes(img_metas)
        # 图像的尺度:1216*1216
        pad_areas = pad_shapes[:, 0] * pad_shapes[:, 1]
        # 获取图像中ROI的类别data:[2000]
        num_rois_list = [rois.shape.as_list()[0] for rois in rois_list]
        # 获取图像中ROI的索引
        roi_indices = tf.constant(
            [i for i in range(len(rois_list)) for _ in range(rois_list[i].shape.as_list()[0])],
            dtype=tf.int32
        ) #[0.....], shape:[2000]
        # 获取对于每一个ROI的图像大小
        areas = tf.constant(#              range(1)                               range(2000)
            [pad_areas[i] for i in range(pad_areas.shape[0]) for _ in range(num_rois_list[i])],
            dtype=tf.float32
        )#[1216*1216, 1216*1216,...], shape:[2000]

        # ROI
        rois = tf.concat(rois_list, axis=0) # [2000, 4]

        # 获取每一个ROI对应的坐标和宽高
        y1, x1, y2, x2 = tf.split(rois, 4, axis=1) # 4 of [2000, 1]
        h = y2 - y1 # [2000, 1]
        w = x2 - x1 # [2000, 1]

        # 将每一个ROI分配到对应的特征图上
        roi_level = tf.math.log( # [2000]
                    tf.sqrt(tf.squeeze(h * w, 1))
                    / tf.cast((224.0 / tf.sqrt(areas * 1.0)), tf.float32)
                    ) / tf.math.log(2.0)
        roi_level = tf.minimum(5, tf.maximum( # [2000], clamp to [2-5]
            2, 4 + tf.cast(tf.round(roi_level), tf.int32)))
        # roi_level will indicates which level of feature to use


        # 遍历所有的特征图,进行ROIpooling/ROIAlign
        pooled_rois = []
        roi_to_level = []
        for i, level in enumerate(range(2, 6)): # 2,3,4,5
            # 找到ROI对应的特征图尺度
            ix = tf.where(tf.equal(roi_level, level))
            # 获取到对应的ROI区域
            level_rois = tf.gather_nd(rois, ix) 

            # 获取ROI对应的索引
            level_roi_indices = tf.gather_nd(roi_indices, ix) 

            # Keep track of which roi is mapped to which level
            roi_to_level.append(ix)

            # 不进行梯度更新
            level_rois = tf.stop_gradient(level_rois)
            level_roi_indices = tf.stop_gradient(level_roi_indices)

            # 进行ROI_align,是ROIpooling的改进版本(在MaskRCNN中介绍)
            pooled_rois.append(tf.image.crop_and_resize(
                feature_map_list[i], level_rois, level_roi_indices, self.pool_shape,
                method="bilinear")) 
        [
        # 将特征拼接在一起 [2000, 7, 7, 256]
        pooled_rois = tf.concat(pooled_rois, axis=0)

        # .....
        # 获取 2000个候选区域 2000 of [7, 7, 256]
        pooled_rois_list = tf.split(pooled_rois, num_rois_list, axis=0)
        return pooled_rois_list

4.4 Classifier+Regression

Classifier+Regression部分利用获得的候选区域的特征图,通过全连接层与softmax计算每个候选区域proposal具体属于的类别(如人,车,电视等),输出cls_prob概率;同时再次利用bounding box regression获得每个proposal的位置偏移量bbox_pred,用于回归更加精确的目标检测框。Classifier部分网络结构如下所示:

从RoI Pooling获取到7x7=49大小的特征图后,送入后续网络,可以看到做了如下2件事:

  1. 通过全连接和softmax对proposals进行分类
  2. 再次对proposals进行bounding box regression,获取更高精度的rect box

源码如下:fasterRCNN/detection/models/bbox_heads/bbox_head.py

class BBoxHead(tf.keras.Model):
    def __init__(self, num_classes, 
                 pool_size=(7, 7),
                 target_means=(0., 0., 0., 0.), 
                 target_stds=(0.1, 0.1, 0.2, 0.2),
                 min_confidence=0.7,
                 nms_threshold=0.3,
                 max_instances=100,
                 **kwags):
        super(BBoxHead, self).__init__(**kwags)
        # 类别个数
        self.num_classes = num_classes
        # ROIpooling的尺寸
        self.pool_size = tuple(pool_size)
        # 均值
        self.target_means = target_means
        # 标准差
        self.target_stds = target_stds
        # 最小的置信度
        self.min_confidence = min_confidence
        # NMS尺度
        self.nms_threshold = nms_threshold
        self.max_instances = max_instances
        # 损失函数
        self.rcnn_class_loss = losses.rcnn_class_loss
        self.rcnn_bbox_loss = losses.rcnn_bbox_loss
        # 分类卷积
        self.rcnn_class_conv1 = layers.Conv2D(1024, self.pool_size, 
                                              padding='valid', name='rcnn_class_conv1')
        # 分类BN
        self.rcnn_class_bn1 = layers.BatchNormalization(name='rcnn_class_bn1')
        # 分类卷积
        self.rcnn_class_conv2 = layers.Conv2D(1024, (1, 1), 
                                              name='rcnn_class_conv2')
        # BN层
        self.rcnn_class_bn2 = layers.BatchNormalization(name='rcnn_class_bn2')
        # 分类
        self.rcnn_class_logits = layers.Dense(num_classes, name='rcnn_class_logits')
        # 回归
        self.rcnn_delta_fc = layers.Dense(num_classes * 4, name='rcnn_bbox_fc')

    def call(self, inputs, training=True):
        '''
        参数:
            pooled_rois_list: List of [num_rois, pool_size, pool_size, channels] rpn生成的候选区域

        返回:
            rcnn_class_logits_list:  [num_rois, num_classes] 分类的logits
            rcnn_probs_list: List of [num_rois, num_classes] 分类的损失
            rcnn_deltas_list: List of [num_rois, num_classes, (dy, dx, log(dh), log(dw))] 回归结果
        '''
        pooled_rois_list = inputs
        num_pooled_rois_list = [pooled_rois.shape[0] for pooled_rois in pooled_rois_list]
        pooled_rois = tf.concat(pooled_rois_list, axis=0)
        # 卷积+BN+relu
        x = self.rcnn_class_conv1(pooled_rois)
        x = self.rcnn_class_bn1(x, training=training)
        x = tf.nn.relu(x)
        # 卷积+BN+relu
        x = self.rcnn_class_conv2(x)
        x = self.rcnn_class_bn2(x, training=training)
        x = tf.nn.relu(x)
        # flatten
        x = tf.squeeze(tf.squeeze(x, 2), 1)
        # 分类结果
        logits = self.rcnn_class_logits(x)
        # 分类概率
        probs = tf.nn.softmax(logits)
        # 回归结果
        deltas = self.rcnn_delta_fc(x)
        deltas = tf.reshape(deltas, (-1, self.num_classes, 4))

        # 分类logits
        rcnn_class_logits_list = tf.split(logits, num_pooled_rois_list, 0)
        # 分类概率
        rcnn_probs_list = tf.split(probs, num_pooled_rois_list, 0)
        # 回归结果
        rcnn_deltas_list = tf.split(deltas, num_pooled_rois_list, 0)
        # 结果返回
        return rcnn_class_logits_list, rcnn_probs_list, rcnn_deltas_list

到这我们就完成了整个网络的介绍。

4.5 FasterRCNN的训练

Faster R-CNN的训练分为两部分,即RPN网络和检测网络fastRCNN的训练:

整个训练过程分为四步:

  • 第一步:RPN网络的训练,使用ImageNet预训练的模型初始化,并端到端微调用于区域建议任务。
  • 第二步:利用第一步的RPN生成的建议框,由Fast R-CNN训练一个单独的检测网络,这个检测网络同样是由ImageNet预训练的模型初始化的,这时候两个网络还没有共享卷积层。
  • 第三步:用检测网络初始化RPN训练,但是固定共享的卷积层,并且只微调RPN独有的层,现在两个网络共享卷积层了。
  • 第四步:保持共享的卷积层固定,微调Fast R-CNN的fc层。这样,两个网络共享相同的卷积层,构成一个统一的网络。

接下来我们分别介绍各个训练步骤:

4.5.1 RPN网络的训练

RPN网络的作用从众多的anchors中提取包含目标的,并且经过回归调整的候选区域。为了训练RPN,给每个anchor分配是否包含目标的标签,也就是正负样本的标记,然后进行训练。

1、正负样本标记
  • 与真实框ground truth(GT)交并比IOU大于0.7的anchor是正样本,即anchor中包含目标
  • 与真实框ground truth(GT)交并比IOU小于0.3的anchor是负样本,即anchor中不包含目标
  • 其他的anchor舍弃,不参与网络的训练

该部分源码在:fasterRCNN/detection/core/anchor/anchor_target.py

    def _build_single_target(self, anchors, valid_flags, gt_boxes, gt_class_ids):
        '''
        计算每幅图像的目标值
        参数:
            anchors: [num_anchors, (y1, x1, y2, x2)] anchor的位置信息
            valid_flags: [num_anchors] anchor的表示
            gt_class_ids: [num_gt_boxes] 真实值的类别
            gt_boxes: [num_gt_boxes, (y1, x1, y2, x2)] 真实框的位置
        返回:
            target_matchs: [num_anchors] anchor是正负样本
            target_deltas: [num_rpn_deltas, (dy, dx, log(dh), log(dw))] 
        '''
        # 删除为0的真实框
        gt_boxes, _ = trim_zeros(gt_boxes)
        # 初始化全0数组,存储anchor的分类结果
        target_matchs = tf.zeros(anchors.shape[0], dtype=tf.int32)

        # 计算anchor与gt之间的交并比 326393 vs 10 => [326393, 10]
        overlaps = geometry.compute_overlaps(anchors, gt_boxes)

        # 1.设置负样本
        # 获取每一个anchor与各个GT交并比的最大值及其索引
        anchor_iou_argmax = tf.argmax(overlaps, axis=1)
        anchor_iou_max = tf.reduce_max(overlaps, axis=[1])
        # 选择 IOU < 0.3 的 anchor 为 background,标签为 -1
        target_matchs = tf.where(anchor_iou_max < self.neg_iou_thr, 
                                 -tf.ones(anchors.shape[0], dtype=tf.int32), target_matchs)

        # 过滤掉pad区域的anchor
        target_matchs = tf.where(tf.equal(valid_flags, 1),
                                 target_matchs, tf.zeros(anchors.shape[0], dtype=tf.int32))

        # 2、选择 IOU > 0.7 的 anchor 为 foreground,标签为 1
        target_matchs = tf.where(anchor_iou_max >= self.pos_iou_thr, 
                                 tf.ones(anchors.shape[0], dtype=tf.int32), target_matchs)

        # 3、为每一GT分配一个anchor:不考虑IOU的大小
        # 选择与每一个GT交并比最大的anchor索引 :[N_gt_boxes]
        gt_iou_argmax = tf.argmax(overlaps, axis=0)
        # 将交并比最大的设置为正样本
        target_matchs = tf.compat.v1.scatter_update(tf.Variable(target_matchs), gt_iou_argmax, 1)

        # 采样获取正负样本,主要不要使正样本比例超过一半
        # [N_pos_anchors, 1], [15, 1]
        ids = tf.where(tf.equal(target_matchs, 1))
        # 压缩成一个一维向量 [15]
        ids = tf.squeeze(ids, 1)
        # 计算真实正样本个数与所需样本个数之间的差值
        extra = ids.shape.as_list()[0] - int(self.num_rpn_deltas * self.positive_fraction)
        # 若差值大于0,说明有足够的正样本
        if extra > 0:
            # 将多余的正样本的标识置为0
            ids = tf.random.shuffle(ids)[:extra]
            target_matchs = tf.compat.v1.scatter_update(target_matchs, ids, 0)
        # 获取负样本
        ids = tf.where(tf.equal(target_matchs, -1)) # [213748, 1]
        ids = tf.squeeze(ids, 1)
        # 获取负样本个数与所需负样本个数之间的差值
        extra = ids.shape.as_list()[0] - (self.num_rpn_deltas -
            tf.reduce_sum(tf.cast(tf.equal(target_matchs, 1), tf.int32)))
        # 若差值大于0,则说明有足够的负样本
        if extra > 0:
            # 将多余的负样本置为0
            ids = tf.random.shuffle(ids)[:extra]
            target_matchs = tf.compat.v1.scatter_update(target_matchs, ids, 0)
        # 这时我们就有256个anchor,分别包含正负样本.

        # 对于每一个正样本,计算其对应的坐标修正值
        # 获取正样本的索引
        ids = tf.where(tf.equal(target_matchs, 1)) # [15]
        # 获取正样本的anchor
        a = tf.gather_nd(anchors, ids)
        # 获取anchor对应的gt的index
        anchor_idx = tf.gather_nd(anchor_iou_argmax, ids)
        # 获取gt
        gt = tf.gather(gt_boxes, anchor_idx)
        # 计算anchor到gt的修正坐标。
        target_deltas = transforms.bbox2delta(
            a, gt, self.target_means, self.target_stds)
        # 获取负样本的个数
        padding = tf.maximum(self.num_rpn_deltas - tf.shape(target_deltas)[0], 0)
        # 目标值,正样本的目标值是偏移,负样本的目标值是0
        target_deltas = tf.pad(target_deltas, [(0, padding), (0, 0)])

        return target_matchs, target_deltas
2、RPN网络的损失函数

RPN网络的损失函数是:

其中

  • i表示anchor的索引

  • pi是第i个anchor 预测为目标的可能性,pi∗为ground-truth标签。如果这个anchor是positive的,则ground-truth标签为1,否则为0。(即当第i个anchor与GT间IoU>0.7,认为是该anchor是positive,标签为1;反之IoU<0.3时,认为是该anchor是negative,标签为0)

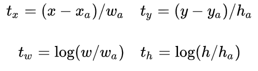
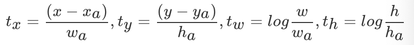
  • ti表示表示正样本anchor到预测区域bounding box的4个参数化预测结果,ti∗是这个positive anchor对应的ground-truth box的偏移,如下所示:

预测值:

真实值:

其中,x,y,w,h表示窗口中心坐标和窗口的宽度和高度,变量x, xa和x∗ 分别表示预测窗口、anchor窗口和Ground Truth的坐标(y,w,h同理)

整个Loss分为两部分:分类和回归的损失

  • Lcls分类的损失(classification loss),是一个二分类器的softmax loss。

  • Lreg是回归损失,为smooth(x)损失,并且只有正样本才参与回归损失计算

  • NclsNreg分别用来标准化分类损失项Lcls和回归损失项Lreg,默认用batch size设置Ncls,用anchor位置数目~2000初始化Nreg
  • NclsNreg相差过大,用参数λ来平衡两者,一般取值为NregNcls的比值10即可。

分类损失实现:fasterRCNN/detection/core/loss/losses.py

def rpn_class_loss(target_matchs, rpn_class_logits):
    '''RPN分类损失
    参数:
        target_matchs: [batch_size, num_anchors]. anchor的标记信息. 1=positive,
            -1=negative, 0=neutral anchor.
        rpn_class_logits: [batch_size, num_anchors, 2]. RPN的分类结果 FG/BG.
    '''

    # 获取anchor的分类标记信息. 将 -1/+1 转换为 0/1 值
    anchor_class = tf.cast(tf.equal(target_matchs, 1), tf.int32)
    # 正负样本对损失都有贡献,获取正负样本的索引
    indices = tf.where(tf.not_equal(target_matchs, 0))
    # 获取正负样本对应的预测值
    rpn_class_logits = tf.gather_nd(rpn_class_logits, indices)
    # 获取正负样本对应的真实累呗
    anchor_class = tf.gather_nd(anchor_class, indices)
    # 获取类别个数
    num_classes = rpn_class_logits.shape[-1]
    # 计算交叉熵损失结果
    loss = keras.losses.categorical_crossentropy(tf.one_hot(anchor_class, depth=num_classes),
                                                 rpn_class_logits, from_logits=True)

    # 求平均
    loss = tf.reduce_mean(loss) if tf.size(loss) > 0 else tf.constant(0.0)
    # 返回loss值
    return loss

回归损失:

def rpn_bbox_loss(target_deltas, target_matchs, rpn_deltas):
    '''
    rpn损失的回归结果
    参数:
        target_deltas: [batch, num_rpn_deltas, (dy, dx, log(dh), log(dw))].
        target_matchs: [batch, anchors]. Anchor match type. 1=positive,
            -1=negative, 0=neutral anchor.
        rpn_deltas: [batch, anchors, (dy, dx, log(dh), log(dw))]
    '''
    def batch_pack(x, counts, num_rows):
        # 获取指定的位置的值
        outputs = []
        for i in range(num_rows):
            outputs.append(x[i, :counts[i]])
        return tf.concat(outputs, axis=0)

    # 只有正样本计算损失,获取正样本的索引
    indices = tf.where(tf.equal(target_matchs, 1))
    # 获取正样本对应的预测值
    rpn_deltas = tf.gather_nd(rpn_deltas, indices)

    # 获取正样本的个数
    batch_counts = tf.reduce_sum(tf.cast(tf.equal(target_matchs, 1), tf.int32), axis=1)
    # 获取正样本对应的目标值
    target_deltas = batch_pack(target_deltas, batch_counts,
                              target_deltas.shape.as_list()[0])
    # 计算smoothL1损失
    loss = smooth_l1_loss(target_deltas, rpn_deltas)
    # 计算均值
    loss = tf.reduce_mean(loss) if tf.size(loss) > 0 else tf.constant(0.0)
    # 返回损失
    return loss
3、训练过程

在训练时每次迭代的正负样本是由一幅图像的正负样本组成的:

  • 随机采样256个anchor,计算损失函数,其中采样的正负anchor的比例是1:1。
  • 通过从零均值标准差为0.01的高斯分布中获取的权重来随机初始化所有新层(最后一个卷积层其后的层),所有其他层(即共享的卷积层)是通过对ImageNet分类预训练的模型来初始化的
  • 采用带动量的随机梯度下降算法对网络进行训练

4.5.2 FastRCNN网络的训练

使用RPN网络收集到的候选区域和imageNet预训练的卷积网络提取的特征对检测的FastRCNN网络进行训练。

1.正负样本标记

在FastRCNN网络训练时:

  • 首先将与真实框ground truth(GT)交并比IOU大于0.5的候选区域设为正样本
  • 将与真实框ground truth(GT)交并比IOU小于0.5的候选区域设为负样本

正负样本的分配如下所示:fasterRCNN/detection/core/bbox/bbox_target.py

    def _build_single_target(self, proposals, gt_boxes, gt_class_ids, img_shape):
        '''
        生成一幅图像中的正负样本
        参数:
            proposals: [num_proposals, (y1, x1, y2, x2)] rpn网络生成的候选区域:归一化坐标
            gt_boxes: [num_gt_boxes, (y1, x1, y2, x2)] 图像中真实值,bbox的坐标值,图像坐标
            gt_class_ids: [num_gt_boxes] 图像中的gt对应的类别
            img_shape: np.ndarray. [2]. (img_height, img_width) 图像的大小

        返回:
            rois: [num_rois, (y1, x1, y2, x2)] 候选区域的归一化坐标
            target_matchs: [num_positive_rois] 采样后候选区域的类别
            target_deltas: [num_positive_rois, (dy, dx, log(dh), log(dw))] 采样后候选区域的目标值
        '''
        # 图像的大小
        H, W = img_shape # 1216, 1216
        # 移除0值 [7, 4]
        gt_boxes, non_zeros = trim_zeros(gt_boxes) 
        # 获取GT对应的类别
        gt_class_ids = tf.boolean_mask(gt_class_ids, non_zeros) # [7]
        # 归一化 (y1, x1, y2, x2) => 0~1
        gt_boxes = gt_boxes / tf.constant([H, W, H, W], dtype=tf.float32)
        # 计算候选区域和真实框之间的交并比:[2k, 4] with [7, 4] => [2k, 7]
        overlaps = geometry.compute_overlaps(proposals, gt_boxes)
        # 获取每一个候选区域最相似的gtbox的索引[2000]
        anchor_iou_argmax = tf.argmax(overlaps, axis=1)
        # 获取每一个候选区域与最相似的gtbox的交并比[2000]
        roi_iou_max = tf.reduce_max(overlaps, axis=1)
        # 获取正样本的索引[2000]=>[48, 1] =>[48]
        positive_roi_bool = (roi_iou_max >= self.pos_iou_thr) 
        positive_indices = tf.where(positive_roi_bool)[:, 0] 
        # 获取负样本的索引
        negative_indices = tf.where(roi_iou_max < self.neg_iou_thr)[:, 0]

        # 对获取的ROI区域进行下采样
        # 需要的正样本个数,通过比例计算
        positive_count = int(self.num_rcnn_deltas * self.positive_fraction) 
        # 将正样本打乱,进行截取
        positive_indices = tf.random.shuffle(positive_indices)[:positive_count] 
        # 正样本的个数
        positive_count = tf.shape(positive_indices)[0] 

        # 负样本,保证正样本的比例
        r = 1.0 / self.positive_fraction
        # 计算样本总数并减去正样本个数,即为负样本个数
        negative_count = tf.cast(r * tf.cast(positive_count, tf.float32), tf.int32) - positive_count
        # 获取负样本
        negative_indices = tf.random.shuffle(negative_indices)[:negative_count]

        # 选取正负样本的候选区域
        positive_rois = tf.gather(proposals, positive_indices)
        negative_rois = tf.gather(proposals, negative_indices)

        # 为选取的候选区域分配目标值,获取正样本与GT的交并比
        positive_overlaps = tf.gather(overlaps, positive_indices)
        # 获取与每一个候选区域最相似的GT
        roi_gt_box_assignment = tf.argmax(positive_overlaps, axis=1) 
        # 将GT的坐标和类别分配给对应的候选区域
        roi_gt_boxes = tf.gather(gt_boxes, roi_gt_box_assignment)
        target_matchs = tf.gather(gt_class_ids, roi_gt_box_assignment) 
        # 将坐标转换为修正值
        target_deltas = transforms.bbox2delta(positive_rois, roi_gt_boxes, self.target_means, self.target_stds)
        # 将正负样本拼接在一起
        rois = tf.concat([positive_rois, negative_rois], axis=0)
        # 获取负样本的数量
        N = tf.shape(negative_rois)[0]
        # 将负样本类别设为0
        target_matchs = tf.pad(target_matchs, [(0, N)])
        # 停止梯度更新
        target_matchs = tf.stop_gradient(target_matchs)
        target_deltas = tf.stop_gradient(target_deltas) 
        # 返回结果
        return rois, target_matchs, target_deltas
2.FastRCNN的损失函数

FastRCNN的输出由两部分组成:一部分是softmax层进行分类,输出类别有K个类别加上”背景”类,另一部分是回归bounding box regressor。也就是:

  • 一部分输出在K+1个类别上的离散概率分布(每个候选区域),p=(p0,p1,...,pk)。通常,通过全连接层的K+1个输出上的Softmax来计算p。
  • 另一部分输出对于由K个类别中的每一个检测框回归偏移,tk=(txk,tyk,twk,thk)​。其中tk​指定相对于候选框的尺度不变转换和对数空间高度/宽度移位,与在RPN网络中是一样的。

每个训练的候选区域用 分类目标值u和检测框回归目标值v标记 。背景样本用u=0来表示,对每个标记的候选区域使用多任务损失L以联合训练分类和检测框回归:

其中Lcls(p,u)=−log⁡pu,表示交叉熵损失,第二个损失Lloc,是定义目标值和预测检测框的四元组之间的损失使用smoothL1损失计算,同样是只有正样本(非背景)的候选区域才计算回归损失,参数λ设为1。

损失函数的源码如下所示:fasterRCNN/detection/core/loss/losses.py

def rcnn_class_loss(target_matchs_list, rcnn_class_logits_list):
    '''FastRCNN的分类损失

    参数:
        target_matchs_list:  [num_rois]. 正样本的候选区域
        rcnn_class_logits_list: list of [num_rois, num_classes] 分类结果
    '''
    # 增加背景类的类别
    class_ids = tf.concat(target_matchs_list, 0)
    # 背景类的分数
    class_logits = tf.concat(rcnn_class_logits_list, 0)
    # 类型转换
    class_ids = tf.cast(class_ids, 'int64')

    # 获取类别总数
    num_classes = class_logits.shape[-1]
    # 计算交叉熵损失函数
    loss = keras.losses.categorical_crossentropy(tf.one_hot(class_ids, depth=num_classes),
                                                 class_logits, from_logits=True)

    # 求平均:大于0返回结果,其他返回0
    loss = tf.reduce_mean(loss) if tf.size(loss) > 0 else tf.constant(0.0)
    return loss


def rcnn_bbox_loss(target_deltas_list, target_matchs_list, rcnn_deltas_list):
    '''FastRCNN的回归损失

    参数:
        target_deltas_list: [num_positive_rois, (dy, dx, log(dh), log(dw))] 正样本对应的真实值
        target_matchs_list: list of [num_rois]. 正样本对应的类别
        rcnn_deltas_list: list of [num_rois, num_classes, (dy, dx, log(dh), log(dw))] 网络返回的结果
    '''
    # 其他结果为0
    target_deltas = tf.concat(target_deltas_list, 0)
    target_class_ids = tf.concat(target_matchs_list, 0)
    rcnn_deltas = tf.concat(rcnn_deltas_list, 0)

    # 只有正样本参与损失计算,并且只有类别预测正确才获取其索引
    # 获取非背景类的结果
    positive_roi_ix = tf.where(target_class_ids > 0)[:, 0]
    # 将类别和回归结果合并在一起
    positive_roi_class_ids = tf.cast(
        tf.gather(target_class_ids, positive_roi_ix), tf.int64)
    # 获取索引
    indices = tf.stack([positive_roi_ix, positive_roi_class_ids], axis=1)

    # 获取正样本预测结果
    rcnn_deltas = tf.gather_nd(rcnn_deltas, indices)

    # 计算Smooth-L1损失
    loss = smooth_l1_loss(target_deltas, rcnn_deltas)
    # 平均:size>0返回结果,否则返回0
    loss = tf.reduce_mean(loss) if tf.size(loss) > 0 else tf.constant(0.0)

    return loss
3.训练过程

FastRCNN的训练采用多张图片进行训练,获取每张图片中的正负样本:

  • 对所有正样本根据IOU值进行排序,每张图片取前64个区域,将这些区域的坐标保存下来,作为该图片的训练样本
  • 用于Softmax分类和检测框回归的全连接层的权重分别使用具有方差0.01和0.001的零均值高斯分布初始化,偏置初始化为0,特征提取网络使用ImageNet的预训练网络
  • 使用梯度下降算法进行优化

4.5.3 共享卷积训练

用fastRCNN检测网络初始化RPN训练,但是固定共享的卷积层,并且只微调RPN独有的层,现在两个网络共享卷积层了,接下来保持共享的卷积层固定,微调Fast R-CNN的fc层。这样,RPN网络和Fast R-CNN网络共享相同的卷积层,构成一个统一的网络。

Faster R-CNN还有一种end-to-end的训练方式,可以一次完成完成,将RPN loss与Fast RCNN loss相加,然后进行梯度下降优化,更新参数。


总结

  • 了解Overfeat模型的移动窗口方法

滑动窗口使用固定宽度和高度的矩形区域,可以在图像上“滑动”,并将扫描送入到神经网络中进行分类和回归。

  • 了解RCNN目标检测的思想

R-CNN网络使用候选区域方法(region proposal method),利用CNN网络提取特征,SVM完成分类,线性回归进行bbox的修正

  • 了解fastRCNN目标检测的思想

利用CNN网络进行特征提取,利用SS生成候选区域,进行映射,并使用ROIpooling进行维度调整,最后进行分类和回归

  • 熟悉FasterRCNN目标检测的思想

利用CNN网络进行特征提取,利用RPN生成候选区域,最后进行分类和回归

  • 知道anchor的思想

anchor技术将检测问题转换为**"这个固定参考框中有没有目标,目标框偏离参考框多远"**,不再需要多尺度遍历滑窗

  • 掌握RPN网络是如何进行候选区域的生成的

通过softmax判断anchors属于positive或者negative,再利用bounding box regression修正anchors获得精确的proposals

  • 掌握ROIPooling的使用方法

RoIpooling使用最大池化将任何有效的RoI区域内的特征转换成具有H×W的固定空间范围的小feature map

  • 知道fasterRCNN的训练方法

分步训练:RPN网络,fastrcnn训练,共享网络训练

posted @ 2025-07-03 21:31  指尖下的世界  阅读(13)  评论(0)    收藏  举报