全部文章

08.参数初始化

参数初始化可以有效减缓梯度爆炸和梯度消失现象,可以让我们训练层数更多的神经网络。

对于某一个神经元来说,需要初始化的参数有两类:一类是权重W,还有一类是偏置b,偏置b初始化为0即可。而权重W的初始化比较重要,我们着重来介绍常见的初始化方式。

引入

假设一个神经元有三个输入,且b=0:

那么这个映射使用函数就可以表示为:

在多个神经元的情况下,如果w的初始化值一样,那么就会导致不同神经元的参数值初始化一样,并且变化趋势也一样,神经元的形式就很单一,也就是对称现象:

为了避免对称现象的出现,我想需要在参数初始化的时候增加一些随机性,例如在均值为0,方差为1的正态分布里面采样W:

为了方便理解,我们让输入x1,x2,x3都等于1,那么:

因此,线性输出y的方差也就是这三个随机变量的方差之和等于3:

那么y的标准差就是√3:

这也意味着,输入经过神经元之后,输出的离散程度提高了。

如果神经元不止三个输入,而是n个,那么y的标准差,也就是离散程度就会被放大√n倍:

当我们不使用任何激活函数的时候,放大的y值就会被累积在反向传播的过程里,这样就会造成梯度爆炸

深入理解其原因参照:为什么不使用激活函数会造成梯度爆炸

而如果我们使用双曲正切函数作为激活函数,那么有可能因为y的值过大或者过小,而得到一个非常小的梯度,这样反而会造成梯度消失问题。

Xavier

所以,为了让神经网络训练过程稳定下来,我们需要将y的方差落在一个可控范围内,例如让它等于1:

那么要求w分布满足的目标方差就要是1/n:

如果我们不仅考虑本层输入的维度,还考虑下一层神经元的数量,那么平均值后的方差就等于2除以输入层和输出层神经元的总和:

关于上面多层之间的方差累积,不应该是乘积吗?为什么是求和?如果不理解参照文末:多层直接的方差累积,为什么是求和?

现在知道了参数W应该满足的方差,我们就可以使用两种方法来进行参数初始化:

  • 正态分布初始化

我们只需要均值为0,反差为目标方差的正态分布中随机采样就可以了:

  • 均匀分布初始化

为了确定均匀分布的起始点,我们需要知道一些基础知识:当x满足从a到b的均匀分布时,x的方差就等于(b-a)2/12:

因为需要保证采样的均值为0,所以我们可以写成从-a到a的均匀分布,带人公式后,得到方差为a2/3:

已知上述公式,将目标方差带入:

就可以得到初始化参数w使用的均匀分布了:

以上两个初始化分布就是2010年提出的Xavier初始化方法。

he初始化

Xavier参数初始化方法对tanh激活方法非常友好,但是对relu激活方法却非常不如意:

假设我们上层的输入是经过relu处理之后的,那么有一半的输入会变成0:

这样y的方差就会变成:

因此,要求w分布满足的目标方差也就变成了:

如果我们使用的leakrelu或者p-relu激活方法,那么w分布满足的目标方差就是:

如果α=0,p-relu就退化为relu激活函数,两个方差的式子也就一样了:

和之前思路一样,我们也可以通过正态分布初始化和均匀分布初始化两种方法来采样w:

  • 正态分布初始化

  • 均匀分布初始化

这就是2015年提出的he初始化方法也Kaiming初始化方法。

 

 

随机初始化

随机初始化从均值为0,标准差是1的高斯分布中取样,使用一些很小的值对参数W进行初始化。

标准初始化

权重参数初始化从区间均匀随机取值。即在均匀分布中生成当前神经元的权重,其中d为每个神经元的输入数量。

  • :当前层​​每个神经元的输入连接数​​(即前一层神经元数量)。

Xavier初始化API

[ˈzeɪvjər],2010年提出

该方法的基本思想是各层的激活值和梯度的方差在传播过程中保持一致,也叫做Glorot初始化。在tf.keras中实现的方法有两种:

  • 正态化Xavier初始化:

Glorot 正态分布初始化器,也称为 Xavier 正态分布初始化器。它从以0为中心,标准差为 stddev=sqrt(2 /(fan_in + fan_out))的正态分布中抽取样本,其中 fan_in 是输入神经元的个数, fan_out 是输出的神经元个数。
示例代码:

import tensorflow as tf
# 实例化
initializers=tf.keras.initializers.glorot_normal()
#指定参数维度,并采样得到权重值
values=initializers(shape=(9,1))
# 打印结果
print(values)
tf.Tensor(
[[-0.08961562]
 [-0.20381981]
 [-0.6347338 ]
 [ 0.34258437]
 [ 0.65838915]
 [-0.12559023]
 [ 0.36905822]
 [-0.02720254]
 [ 0.02490802]], shape=(9, 1), dtype=float32)
  •  标准化Xavier初始化

Glorot 均匀分布初始化器,也称为 Xavier均匀分布初始化器。它从[-limit,limit]中的均匀分布中抽取样本,其中 limit是 sqrt(6/(fan_in + fan_out)),其中 fan_in 是输入神经元的个数, fan_out 是输出的神经元个数。

 示例代码:

import tensorflow as tf
# 实例化
initializers=tf.keras.initializers.glorot_uniform()
#指定参数维度,并采样得到权重值
values=initializers(shape=(9,1))
# 打印结果
print(values)
tf.Tensor(
[[ 0.5864737 ]
 [-0.21126193]
 [ 0.21506947]
 [-0.07514834]
 [ 0.26516378]
 [-0.28064796]
 [-0.07495058]
 [-0.7506803 ]
 [-0.09512872]], shape=(9, 1), dtype=float32)

He初始化API

2015年提出

he初始化,也称为Kaiming初始化,出自大神何恺明之手,它的基本思想是正向传播时,激活值的方差保持不变;反向传播时,关于状态值的梯度的方差保持不变。在tf.keras中也有两种:

  • 正态化的he初始化

He 正态分布初始化是以0为中心,标准差为stddev=sqrt(2/fan_in)的截断正态分布中抽取样本,其中 fan_in 是输入神经元的个数,在tf.keras中的实现方法为:

# 实例化
initializers=tf.keras.initializers.he_normal()
#指定参数维度,并采样得到权重值
values=initializers(shape=(9,1))
# 打印结果
print(values)
tf.Tensor(
[[ 0.92333037]
 [ 0.46596143]
 [ 0.7372162 ]
 [-0.4344145 ]
 [-0.14783919]
 [-0.0793089 ]
 [-0.13940148]
 [-0.27763277]
 [-0.14538212]], shape=(9, 1), dtype=float32)
  • 标准化的he初始化

He 均匀方差缩放初始化器。它从[-limit,limit]中的均匀分布中抽取样本,其中 limit 是sqrt(6/fan_in),其中 fan_in 输入神经元的个数。实现为:

# 实例化
initializers=tf.keras.initializers.he_uniform()
#指定参数维度,并采样得到权重值
values=initializers(shape=(9,1))
# 打印结果
print(values)
tf.Tensor(
[[ 0.26170146]
 [ 0.2875104 ]
 [-0.7832847 ]
 [ 0.21410537]
 [ 0.5126947 ]
 [-0.38704196]
 [-0.2887956 ]
 [-0.39889997]
 [-0.7302332 ]], shape=(9, 1), dtype=float32)

 

总结

tanh一般使用Xavier初始化方法
ReLU及其变种一般使用Kaiming初始化方法

 

补充

为什么不使用激活函数会造成梯度爆炸

要理解 “不使用激活函数时,放大的 y 值在反向传播中累积导致梯度爆炸”,可以从前向传播的信号放大反向传播的梯度计算逻辑两方面拆解,结合线性网络的例子具体分析:

一、前向传播:无激活函数时的 “线性放大”

假设我们有一个多层线性网络(无激活函数),结构如下(简化为全连接层):

由于没有激活函数(如 ReLU、Sigmoid ),每一层都是线性变换。此时,多层网络的整体变换可简化为:

 

若权重矩阵Wi的数值较大(或多层乘积后范数很大),前向传播的输出yk会被指数级放大(比如每层权重使输出放大 2 倍,3 层后放大 (23 = 8) 倍,10 层后放大 (210= 1024) 倍 )。

二、反向传播:梯度与 “放大的 y” 的关联

反向传播的核心是用链式法则计算损失对权重的梯度,梯度的传递与前向传播的输出 y 直接相关。

 

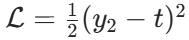
以一个简单的两层线性网络(损失为 t 是标签 )为例:

1. 计算损失对 W2的梯度

2. 计算损失对 W1的梯度

三、“放大的 y” 如何导致梯度爆炸?

观察上述梯度公式,尤其是
  • 前向传播中,若W1,W2使 y1,y2被放大(比如y2远大于标签 t ),则 y2 - t 的数值会很大;
  • 同时,若因前向放大而数值较大,会进一步放大梯度;
  • 多层网络中,梯度会经过  的乘积,若每层权重都使信号放大,梯度会被指数级累积放大,最终超出计算机浮点数的表示范围(如梯度值变为 10308) 以上,超出 float32 上限 ),导致梯度爆炸

四、激活函数的 “救场” 作用

激活函数(如 ReLU、Sigmoid )的核心价值之一,就是打破线性依赖,引入非线性 “约束”
  • ReLUx > 0 时导数为 1;x<0 时导数为 0,反向传播时梯度会被截断(导数为 0 ),避免梯度无限制放大;
  • Sigmoid:导数最大值为 0.25,天然限制了梯度的大小,避免梯度爆炸(但会导致梯度消失,需权衡 )。

五、总结:无激活函数的风险本质

不使用激活函数时,网络退化为多层线性组合,权重的乘积会无限制放大前向信号。反向传播时,梯度计算依赖前向信号的放大结果,导致梯度也被指数级放大,最终超出数值范围,引发梯度爆炸。
激活函数通过非线性变换,切断了这种 “无约束的线性放大链”,让梯度传递更可控 —— 这也是深度网络必须引入激活函数的核心原因之一。

 

 

多层直接的方差累积,为什么是求和?

当扩展到多层网络,Xavier 初始化的核心目标是让信号在层间传递时,前向传播的方差不变,同时反向传播的梯度方差也不变(双向稳定)。

1. 前向传播的方差要求(和单一层一致)

设当前层输入维度为nin(即有nin个输入神经元 ),输出维度为nout(下一层有 nout个神经元 )。
前向传播时,输出 y 的方差希望稳定(比如为 1 ),根据单一层逻辑,若只看当前层输入,需要

2. 反向传播的方差要求(新增逻辑)

反向传播时,梯度从下一层传回当前层,此时梯度的传递可看作 “反向的前向传播”。
假设下一层的梯度输入维度是 nout(对应当前层的输出维度 ),为了让反向传播的梯度方差也稳定,需要当前层权重的方差满足

3. 双向稳定的折中:调和平均

为了同时满足 ** 前向传播(依赖 nin )反向传播(依赖nout) )** 的方差稳定,Xavier 初始化取了两者的 “调和平均”,即:
这里的 **“求和” 本质是调和平均的推导结果 **,不是直接的方差乘积累积,而是为了平衡前向和反向的方差传递需求。

三、为什么不是 “方差乘积”?

你提到的 “方差乘积”,是不考虑反向传播、仅看多层前向传递时的朴素直觉(比如第一层输出方差),第二层输出方差,依此类推 )。

 

但 Xavier 初始化的野心更大:它想让每一层的输入输出方差都稳定(前向传递时方差不变),同时反向传播的梯度方差也稳定(避免梯度消失 / 爆炸 )。这种 “双向稳定” 的需求,导致不能简单用 “乘积累积”,而需要调和输入和输出维度的影响,最终推导得到

四、总结:关键是 “双向稳定” 的设计目标

Xavier 初始化的核心不是 “多层方差乘积累积”,而是让信号在层间前向传播和梯度反向传播时,方差都保持稳定。为了同时满足这两个方向的需求,通过调和输入、输出维度的影响,得到了最终的方差公式。
简单说:“求和” 是为了平衡前向和反向的方差传递,是双向稳定目标下的折中设计 ,这也是 Xavier 初始化比 “单一层方差控制” 更强大的原因~

 

posted @ 2025-07-01 09:54  指尖下的世界  阅读(43)  评论(0)    收藏  举报