全部文章

01-1高等数学-函数&极限

函数

给定一个数集A,对A施加一个对应的法则/映射f,记做:f(A),那么可以得到另外一个数集B,也就是可以认为B=f(A);那么这个关系就叫做函数关系式,简称函数。三个重要的因素: 定义域A、值域B、对应的映射法则f。

常见函数

函数分类

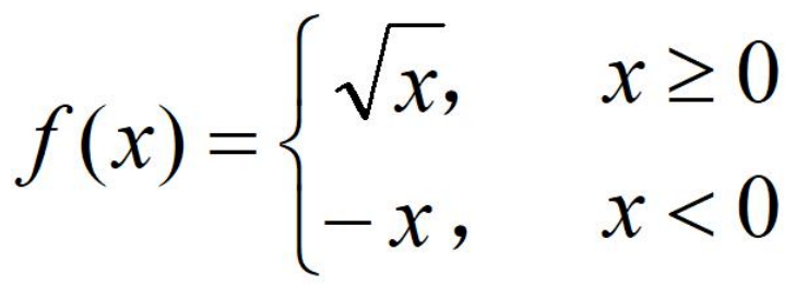
分段函数

 

显函数与隐函数

反函数

若函数 f D → f ( D ) ,它存在逆映射 f1 f ( D )   D则此映射 f1称为函数 f 的反函数。

预备概念:

单射函数​​(亦称​​一对一函数​​)是指一个函数中不同的输入值对应​​唯一的输出值​​。数学定义如下:
对于函数 ,若满足:

则称  为单射函数。

单调函数一定是反函数。

反函数的性质

复合函数

函数几种特性

基本初等函数 (Basic Elementary Functions)

极限

数列极限

函数极限

定义:

若这样的 a 不存在,则称数列{ xn }无极限或{ xn }发散。

注:数学里所有希腊字母发音都采用英文发音(为了国际交流)

ε读作艾普西龙(Epsilon)‌ε通常读作/ˈɛpsɪlən/ 或 /ˈɛpsəlɒn/(美式发音),ε在数学和物理学中常用于表示小量、误差或极限的定义‌

δ希腊字母δ读作“delta”‌,音标为[ˈdeltə]‌,在数学和物理学中,δ常用来表示变化量或增量。

极限不存在的情况

无穷小

函数极限的性质

极限存在的两个准则

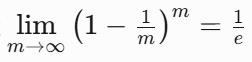
几个重要极限(常用,建议记忆)

第三个重要极限

函数的连续性

 

posted @ 2025-05-14 18:45  指尖下的世界  阅读(48)  评论(0)    收藏  举报