全部文章

数学基础概念

因为今天的各种人工智能技术都是建立在数学模型基础之上的,必备的数学统计学知识是理解人工智能的基础,所以作为 AI 产品经理来说,这些基础知识也是必须要学习的。
虽然不需要了解数学公式,以及公式背后的逻辑,但我们需要知道数学统计学的基本概念,以及概念的落地应用。
 

数的分类

常数(Constant)​​:在运算过程中​​值不发生变化​​的量。

  • ​示例​​:
    • 数值常数:(自然对数的底)。
    • 符号常数:在方程  中, 和  可以是常数(如 )。

统计学

概率统计中的常见分布

在概率统计中,我们最需要掌握的就是概率的分布。举个例子,我们在做一个预测用户评分的时候,这个分数可能是购买倾向,也可能是信用评分。按照经验,这个评分结果应该是符合正态分布的。这个时候,如果算法同学的模型预测出来的结果不符合正态分布,我们就必须对这个结果进行质疑,让他们给出合理的解释。
从这个例子中我们知道,概率分布是我们用来评估特征数据和模型结果的武器。 那产品经理怎么才能利用好这个武器呢?首先,我们要掌握常用的概率分布的类型。其次,我们还要知道业务场景下的特征数据和模型结果的分布,以及它们应该符合哪种分布类型。这样,产品经理就可以把概率分布应用于日常的工作中。因为概率的分布和随机变量的类型相关,随机变量又可以分为离散型随机变量和连续性随机变量两种。为了方便你查看,我把这两种变量对应的概率分布的类型都总结在了下面这张图里。

伯努利分布

伯努利分布(Bernoulli Distribution)是一种离散概率分布,专门用于描述仅有两种可能结果的随机事件。

  1. 定义:伯努利分布指的是对于随机变量X,参数为p(0≤p≤1),如果它分别以概率p和1-p取1和0为值。其中,1代表成功,0代表失败。

  2. 特点:

    • 离散型分布:伯努利分布是离散型概率分布,随机变量只能取0或1这两个值。
    • 单参数分布:伯努利分布只有一个参数p,即成功的概率。
    • 基础分布:伯努利分布是二项分布、几何分布、负二项分布等更复杂分布的基础。

应用场景

伯努利分布在现实生活中具有广泛的应用,包括但不限于以下几个方面:

  1. 医学领域:可以用来描述某种疾病在特定人群中的发生率。
  2. 计算机科学:可以用来模拟计算机在运行过程中是否出现故障。
  3. 市场营销:可以用来预测客户是否会购买某种产品。
  4. 二分类问题:常用于信用评分、疾病诊断等二分类问题的建模和分析。

泊松分布

泊松分布描述的是单位时间内,随机事件发生的次数。 比如,我们的频道页平均每分钟就有 2000 次访问,那如果让我们计算出下一分钟能够有 4000 次访问的概率,这个结果就是泊松分布。
二项分布近似于泊松分布(泊松定理)在实验次数n 比较多的情况下,二项分布的概率计算比较麻烦,这时就可以用泊松分布来近似处理二项分布.

 

正态分布

正态分布是一种概率分布。正态分布是具有两个参数μ和σ的连续型随机变量的分布,第一参数μ是服从正态分布的随机变量的均值,第二个参数σ是此随机变量的标准差,所以正态分布记作N(μ,σ )。

它也叫高斯分布。正态分布的曲线特点是两头低、中间高,左右对称,所以我们也经常叫它钟形曲线。

正态分布的应用

在现实生活中,人的很多特质都符合正态分布,比如人的身高、体重、运动量、智力、收入、甚至信用情况等等。

正态分布特点

μ决定了其位置,其标准差σ决定了分布的幅度。当μ = 0,σ = 1时的正态分布是标准正态分布。
标准差如何来?
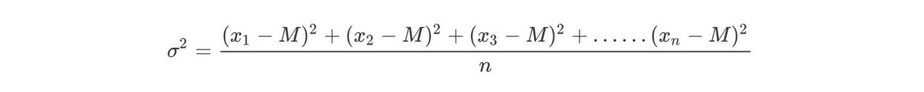
  • 方差
是在概率论和统计方差衡量一组数据时离散程度的度量

其中M为平均值,n为数据总个数,σ 为标准差,σ ^2可以理解一个整体的方差

标准差与方差的意义
可以理解成数据的一个离散程度的衡量

几何

斜率

斜率表示一条平面上直线关于坐标轴的倾斜程度,符号为字母k。它通常用直线与坐标轴夹角(倾斜角)的正切来定义,也等于直线上两点的纵坐标之差与横坐标之差的比来表示。需要注意的是,当直线与纵坐标轴平行时,斜率不存在。
利用斜率可以解决一些数学问题,可以用来表示直线方程,还可以为一些代数式提供几何直观,如一次函数的表达式为y=kx+b,其图象为一条直线,表达式中的k即为该直线的斜率。
 
 
 
 
 
 
 
posted @ 2025-02-20 10:31  指尖下的世界  阅读(28)  评论(0)    收藏  举报