机器学习知识点02-单变量的线性回归
我们的第一个学习算法是线性回归算法。
让我们通过一个例子来开始:这个例子是预测住房价格的,我们要使用一个数据集,数据集包含某市的住房价格。在这里,我要根据不同房屋尺寸所售出的价格,画出我的数据集。比方说,如果你朋友的房子是 1250 平方尺大小,你要告诉他们这房子能卖多少钱。那么,你可以做的一件事就是构建一个模型,也许是条直线,从这个数据模型上来 看,也许你可以告诉你的朋友,他能以大约 220000(美元)左右的价格卖掉这个房子。这就是监督学习算法的一个例子。

它被称作监督学习是因为对于每个数据来说,我们给出了“正确的答案”,即告诉我们: 根据我们的数据来说,房子实际的价格是多少,而且,更具体来说,这是一个回归问题。回归一词指的是,我们根据之前的数据预测出一个准确的输出值,对于这个例子就是价格,同 时,还有另一种最常见的监督学习方式,叫做分类问题,当我们想要预测离散的输出值,例 如,我们正在寻找癌症肿瘤,并想要确定肿瘤是良性的还是恶性的,这就是 0/1 离散输出的 问题。更进一步来说,在监督学习中我们有一个数据集,这个数据集被称训练集。
我将在整个课程中用小写的 m 来表示训练样本的数目。

我们将要用来描述这个回归问题的标记如下: m 代表训练集中实例的数量
x 代表特征/输入变量
y 代表目标变量/输出变量
(x,y) 代表训练集中的实例
(x(i),y(i) ) 代表第 i 个观察实例
h 代表学习算法的解决方案或函数也称为假设(hypothesis)

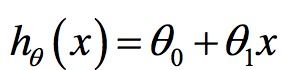
这就是一个监督学习算法的工作方式,我们可以看到这里有我们的训练集里房屋价格 我们把它喂给我们的学习算法,学习算法的工作了,然后输出一个函数,通常表示为小写 h 表示。h 代表 hypothesis(假设) ,h 表示一个函数,输入是房屋尺寸大小,就像你朋友想出 售的房屋,因此 h 根据输入的 x 值来得出 y 值,y 值对应房子的价格 因此,h 是一个从 x 到 y 的函数映射。
我将选择最初的使用规则 h 代表 hypothesis,因而,要解决房价预测问题,我们实际上
是要将训练集“喂”给我们的学习算法,进而学习得到一个假设 h,然后将我们要预测的房屋
的尺寸作为输入变量输入给 h,预测出该房屋的交易价格作为输出变量输出为结果。那么,
对于我们的房价预测问题,我们该如何表达 h?
因为只含有一个特征/输入变量,因此这样的问题叫作单变量线性回归问题。

浙公网安备 33010602011771号