布隆过滤器
布隆过滤器可以用于检索一个元素是否在一个集合中。优点是空间效率和查询时间都比一般的算法要好的多,缺点是有一定的误识别率和删除困难。解决网页 URL 去重、垃圾邮件识别、大集合中重复元素的判断和缓存穿透等问题。
当往简单数组或列表中插入新数据时,将不会根据插入项的值来确定该插入项的索引值。这意味着新插入项的索引值与数据值之间没有直接关系。这样的话,当你需要在数组或列表中搜索相应值的时候,你必须遍历已有的集合。若集合中存在大量的数据,就会影响数据查找的效率。
针对这个问题,可以考虑使用哈希表。利用哈希表你可以通过对 “值” 进行哈希处理来获得该值对应的键或索引值,然后把该值存放到列表中对应的索引位置。这意味着索引值是由插入项的值所确定的,当你需要判断列表中是否存在该值时,只需要对值进行哈希处理并在相应的索引位置进行搜索即可,这时的搜索速度是非常快的。
布隆过滤器可以检查值是 “可能在集合中” 还是 “绝对不在集合中”。“可能” 表示有一定的概率,也就是说可能存在一定为误判率。那为什么会存在误判呢?下面来分析一下具体的原因。
布隆过滤器(Bloom Filter)本质上是由长度为 m 的位向量或位列表(仅包含 0 或 1 位值的列表)组成,最初所有的值均设置为 0,如下图所示。

为了将数据项添加到布隆过滤器中,会提供 K 个不同的哈希函数,并将结果位置上对应位的值置为 “1”。在前面所提到的哈希表中,使用的是单个哈希函数,因此只能输出单个索引值。而对于布隆过滤器来说,将使用多个哈希函数,这将会产生多个索引值。

如上图所示,当输入 “semlinker” 时,预设的 3 个哈希函数将输出 2、4、6,把相应位置 1。假设另一个输入 ”kakuqo“,哈希函数输出 3、4 和 7。可能已经注意到,索引位 4 已经被先前的 “semlinker” 标记了。此时,已经使用 “semlinker” 和 ”kakuqo“ 两个输入值,填充了位向量。当前位向量的标记状态为:

当对值进行搜索时,与哈希表类似,将使用 3 个哈希函数对 ”搜索的值“ 进行哈希运算,并查看其生成的索引值。假设,当我们搜索 ”fullstack“ 时,3 个哈希函数输出的 3 个索引值分别是 2、3 和 7:

从上图可以看出,相应的索引位都被置为 1,这意味着可以说 ”fullstack“ 可能已经插入到集合中。事实上这是误报的情形,产生的原因是由于哈希碰撞导致的巧合而将不同的元素存储在相同的比特位上。幸运的是,布隆过滤器有一个可预测的误判率(FPP):

- n 是已经添加元素的数量;
- k 哈希的次数;
- m 布隆过滤器的长度(如比特数组的大小);
极端情况下,当布隆过滤器没有空闲空间时(满),每一次查询都会返回 true 。这也就意味着 m 的选择取决于期望预计添加元素的数量 n ,并且 m 需要远远大于 n 。
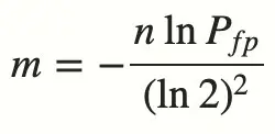
实际情况中,布隆过滤器的长度 m 可以根据给定的误判率(FFP)的和期望添加的元素个数 n 的通过如下公式计算:
当搜索一个值的时候,若该值经过 K 个哈希函数运算后的任何一个索引位为 ”0“,那么该值肯定不在集合中。但如果所有哈希索引值均为 ”1“,则只能说该搜索的值可能存在集合中。
布隆过滤器常见的应用场景如下:
- 网页爬虫对 URL 去重,避免爬取相同的 URL 地址;
- 反垃圾邮件,从数十亿个垃圾邮件列表中判断某邮箱是否垃圾邮箱;
- Google Chrome 使用布隆过滤器识别恶意 URL;
- Medium 使用布隆过滤器避免推荐给用户已经读过的文章;
- Google BigTable,Apache HBbase 和 Apache Cassandra 使用布隆过滤器减少对不存在的行和列的查找。 除了上述的应用场景之外,布隆过滤器还有一个应用场景就是解决缓存穿透的问题。所谓的缓存穿透就是服务调用方每次都是查询不在缓存中的数据,这样每次服务调用都会到数据库中进行查询,如果这类请求比较多的话,就会导致数据库压力增大,这样缓存就失去了意义。
public class BloomFilterDemo { public static void main(String[] args) { int total = 1000000; BloomFilter<CharSequence> bf = BloomFilter.create(Funnels.stringFunnel(Charsets.UTF_8), total); /** *初始化 1000000 条数据到过滤器中 */ for (int i = 0; i < total; i++) { bf.put(String.valueOf(i)); } int count = 0; for (int i = 0; i < total + 10000; i++) { if (bf.mightContain(String.valueOf(i))) { count++; } } System.out.println("已匹配的数量" + count); } }
可以在创建布隆过滤器的时候设置误判率 fpp:
BloomFilter<CharSequence> bf = BloomFilter.create( Funnels.stringFunnel(Charsets.UTF_8), total, 0.0002 );
BloomFilter 内部,误判率 fpp 的默认值是 0.03:
可知误判率 fpp 的值越小,匹配的精度越高。当减少误判率 fpp 的值,需要的存储空间也越大,所以在实际使用过程中需要在误判率和存储空间之间做个权衡。
浙公网安备 33010602011771号