leetcode 404. 左叶子之和
一、题目

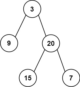
输入: root = [3,9,20,null,null,15,7]
输出: 24
解释: 在这个二叉树中,有两个左叶子,分别是 9 和 15,所以返回 24
二、解法
class Solution {
public int sumOfLeftLeaves(TreeNode root) {
if(root==null) return 0;
Queue<TreeNode> queue=new LinkedList<>();
queue.offer(root);
int sum=0;
while(!queue.isEmpty()){
TreeNode node=queue.poll();
if(node.left!=null){
if(isLeaf(node.left)){
sum+=node.left.val;
}else{
queue.offer(node.left);
}
}
if(node.right!=null){
if(!isLeaf(node.right)){
queue.offer(node.right);
}
}
}
return sum;
}
boolean isLeaf(TreeNode node){
return node!=null&&node.left==null&&node.right==null;
}
}

浙公网安备 33010602011771号