leetcode 222. 完全二叉树的节点个数
一、题目

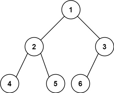
输入:root = [1,2,3,4,5,6]
输出:6
二、解法
一般的做法是用bfs或dfs遍历节点,时间和空间复杂度是O(n)。
要利用完全二叉树这个性质,首先求出树的层数level(root是0层),然后二分查找,判断最高层节点是否存在。

/**
* Definition for a binary tree node.
* public class TreeNode {
* int val;
* TreeNode left;
* TreeNode right;
* TreeNode() {}
* TreeNode(int val) { this.val = val; }
* TreeNode(int val, TreeNode left, TreeNode right) {
* this.val = val;
* this.left = left;
* this.right = right;
* }
* }
*/
class Solution {
public int countNodes(TreeNode root) {
if(root==null) return 0;
int level=0;
TreeNode node=root;
while(node.left!=null){
level++;
node=node.left;
}
int low=1<<level,high=(1<<(level+1))-1;
while(low<high){
int mid=low+(high-low+1)/2;
if(exists(root,level,mid)){
low=mid;
}else{
high=mid-1;
}
}
return low;
}
boolean exists(TreeNode root,int level,int k){
int bits=1<<(level-1);
TreeNode node=root;
while(node!=null&&bits!=0){
if((k&bits)==0){
node=node.left;
}else{
node=node.right;
}
bits>>=1;
}
return node!=null;
}
}

浙公网安备 33010602011771号